Fe2Te2
MatHub2d-604-Fe2Te2
| Property |
Value |
| Space group |
(187, 'P-6m2') |
| Crystal system |
hexagonal |
| Magnetic |
Yes |
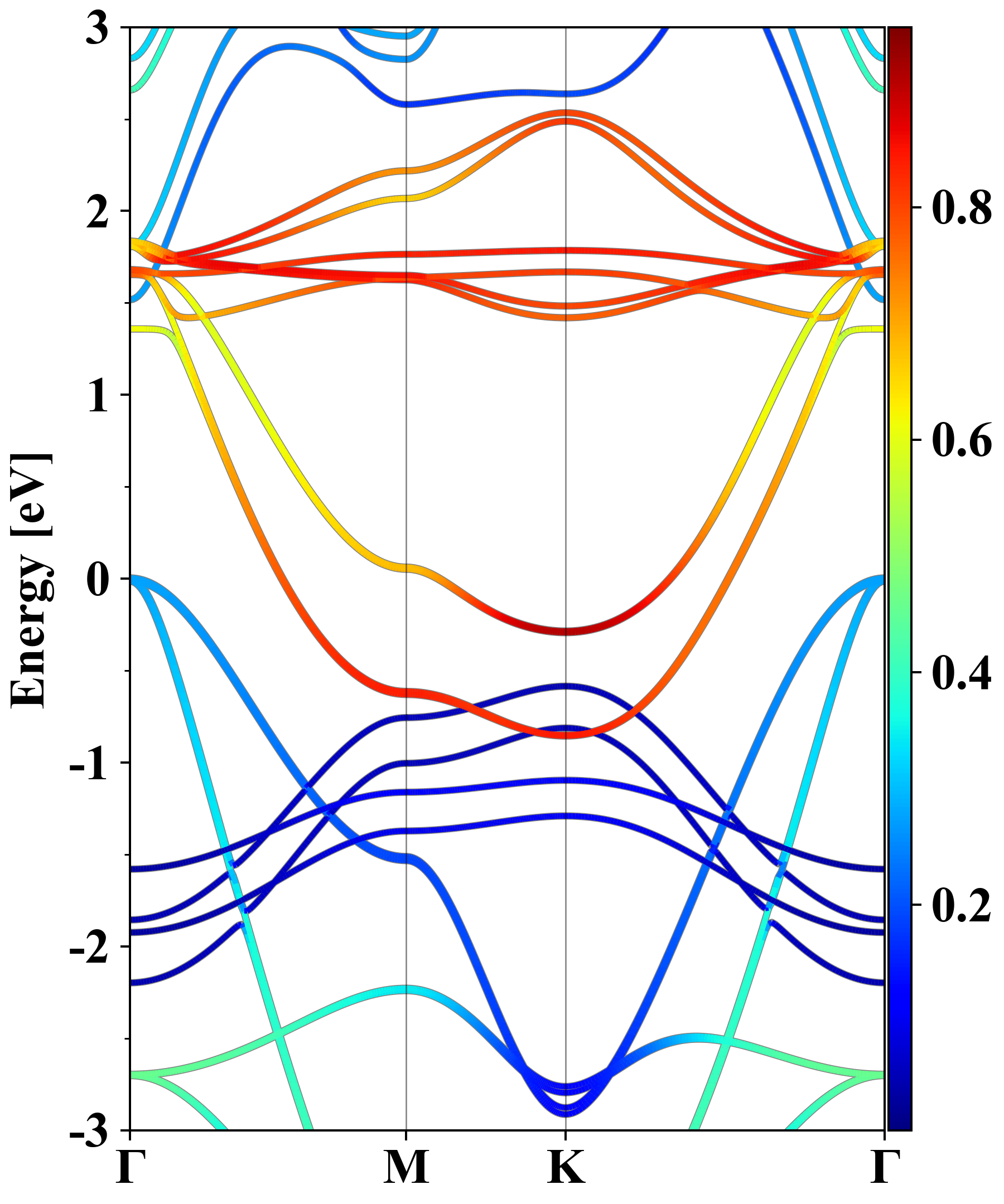
| Band gap (PBE) (eV) |
0.00 |
| Free energy (eV) |
-15.317 |
| Free energy / atom (eV) |
-3.829 |
Lattice Parameters (basic)
| a, b, c (Å): | 4.048 | 4.048 | 30.000 |
| α, β, γ (°): | 90.000 | 90.000 | 120.000 |
Lattice Parameters (computed)
| a, b, c (Å): | 4.476 | 4.476 | 30.000 |
| α, β, γ (°): | 90.000 | 90.000 | 120.000 |
| Property |
Value |
| Band gap |
0.00 eV |
| E-fermi |
-2.842 eV |
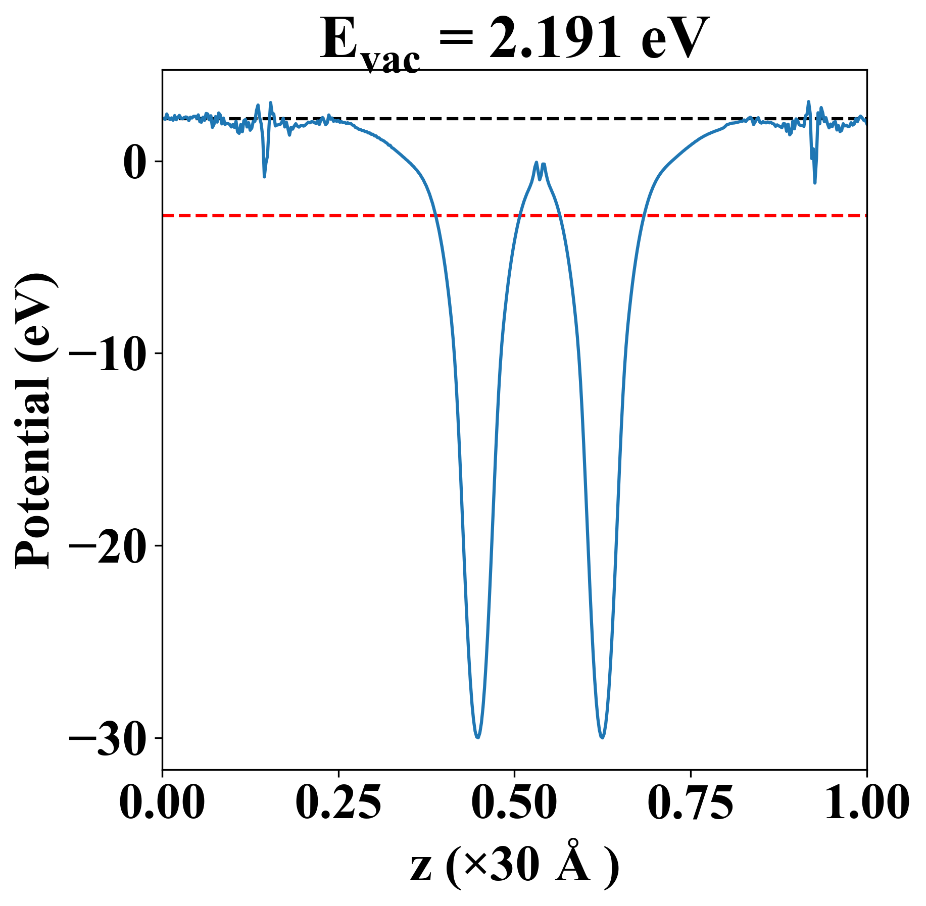
| Vacuum level |
2.191 eV |
| VBM |
-2.842 eV |
| CBM |
-2.841 eV |
| Work function |
5.033 eV |
| Direct gap |
No |
| Property |
Value |
| Band gap |
0.00 eV |
| E-fermi |
-2.842 eV |
| Vacuum level |
2.191 eV |
| VBM |
-2.842 eV |
| CBM |
-2.841 eV |
| Work function |
5.033 eV |
| Cij (N/m) |
xx |
yy |
xy |
| xx |
48.978 |
39.130 |
0.000 |
| yy |
39.130 |
48.978 |
-0.000 |
| xy |
0.000 |
-0.000 |
4.924 |
| Phonon mode at Γ point (THz) |
| -0.433 |
| -0.189 |
| -0.189 |
| -0.005 |
| -0.005 |
| -0.005 |
| 2.171 |
| 2.176 |
| 5.733 |
| 5.733 |
| 5.735 |
| 5.735 |
| Property |
Value |
| from where |
c2db-1624 |