Fe2Se2
MatHub2d-603-Fe2Se2
| Property |
Value |
| Space group |
(187, 'P-6m2') |
| Crystal system |
hexagonal |
| Magnetic |
Yes |
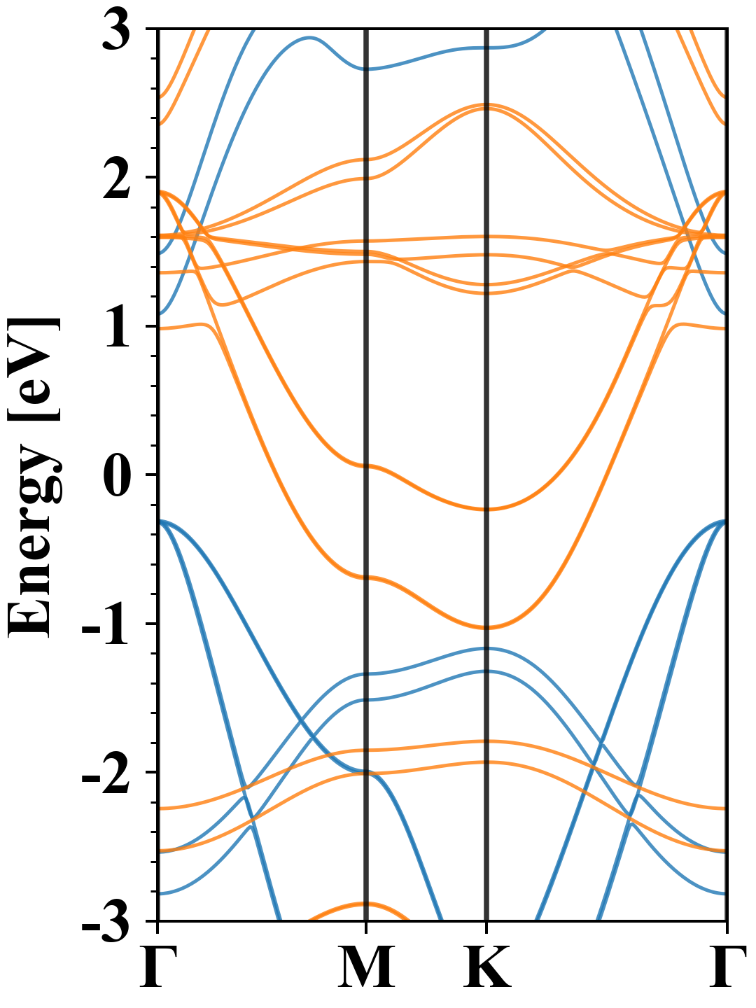
| Band gap (PBE) (eV) |
0.00 |
| Free energy (eV) |
-17.175 |
| Free energy / atom (eV) |
-4.294 |
Lattice Parameters (basic)
| a, b, c (Å): | 3.669 | 3.669 | 30.000 |
| α, β, γ (°): | 90.000 | 90.000 | 120.000 |
Lattice Parameters (computed)
| a, b, c (Å): | 4.159 | 4.159 | 30.000 |
| α, β, γ (°): | 90.000 | 90.000 | 120.000 |
| Property |
Value |
| Band gap |
0.00 eV |
| E-fermi |
-2.828 eV |
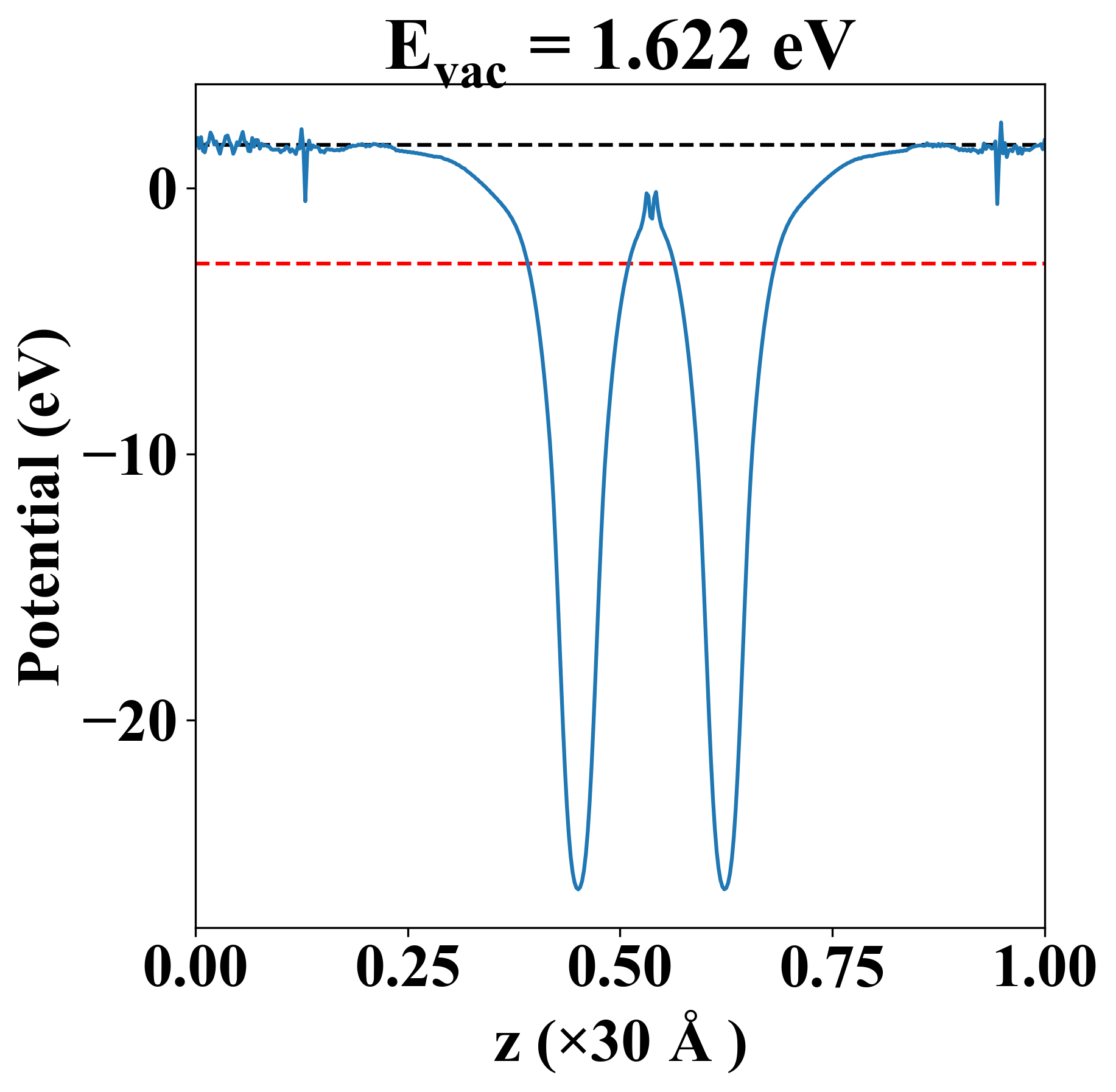
| Vacuum level |
1.622 eV |
| VBM |
-2.830 eV |
| CBM |
-2.827 eV |
| Work function |
4.450 eV |
| Direct gap |
No |
| Property |
Value |
| Band gap |
0.00 eV |
| E-fermi |
-2.828 eV |
| Vacuum level |
1.622 eV |
| VBM |
-2.830 eV |
| CBM |
-2.827 eV |
| Work function |
4.450 eV |
| Cij (N/m) |
xx |
yy |
xy |
| xx |
56.264 |
44.028 |
-0.000 |
| yy |
44.028 |
56.264 |
-0.000 |
| xy |
-0.000 |
-0.000 |
6.118 |
| Phonon mode at Γ point (THz) |
| -0.480 |
| -0.011 |
| -0.001 |
| -0.001 |
| 0.204 |
| 0.204 |
| 2.678 |
| 2.717 |
| 6.130 |
| 6.130 |
| 6.134 |
| 6.134 |
| Property |
Value |
| from where |
c2db-1623 |