Fe2S2
MatHub2d-602-Fe2S2
| Property |
Value |
| Space group |
(187, 'P-6m2') |
| Crystal system |
hexagonal |
| Magnetic |
Yes |
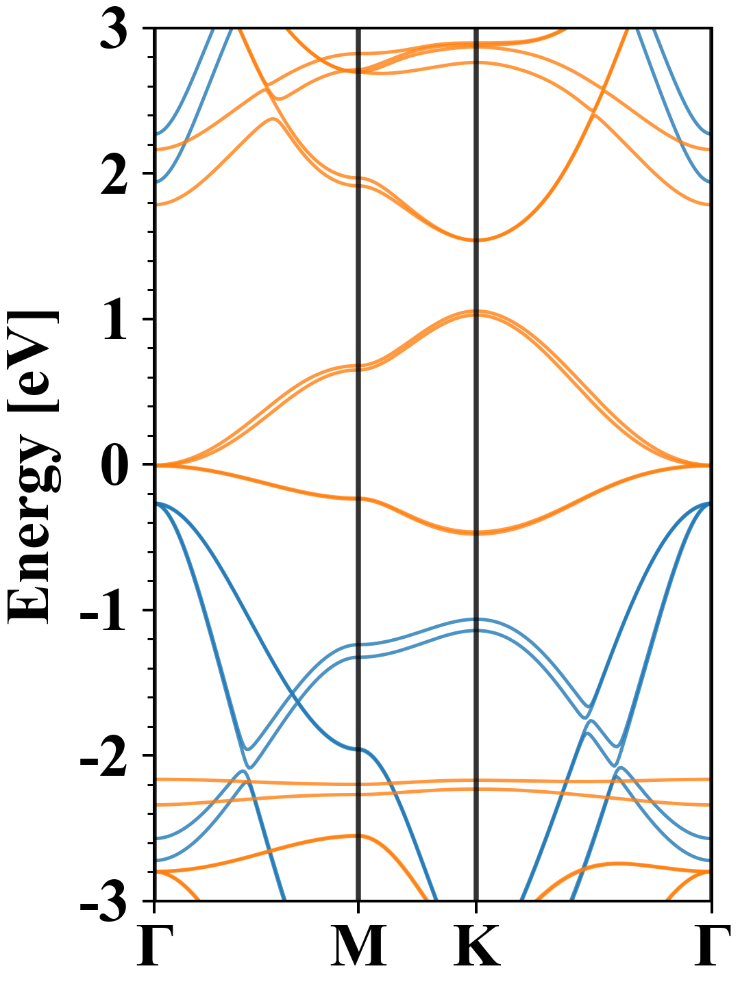
| Band gap (PBE) (eV) |
0.00 |
| Free energy (eV) |
-19.403 |
| Free energy / atom (eV) |
-4.851 |
Lattice Parameters (basic)
| a, b, c (Å): | 3.418 | 3.418 | 30.000 |
| α, β, γ (°): | 90.000 | 90.000 | 120.000 |
Lattice Parameters (computed)
| a, b, c (Å): | 3.982 | 3.982 | 30.000 |
| α, β, γ (°): | 90.000 | 90.000 | 120.000 |
| Property |
Value |
| Band gap |
0.00 eV |
| E-fermi |
-2.952 eV |
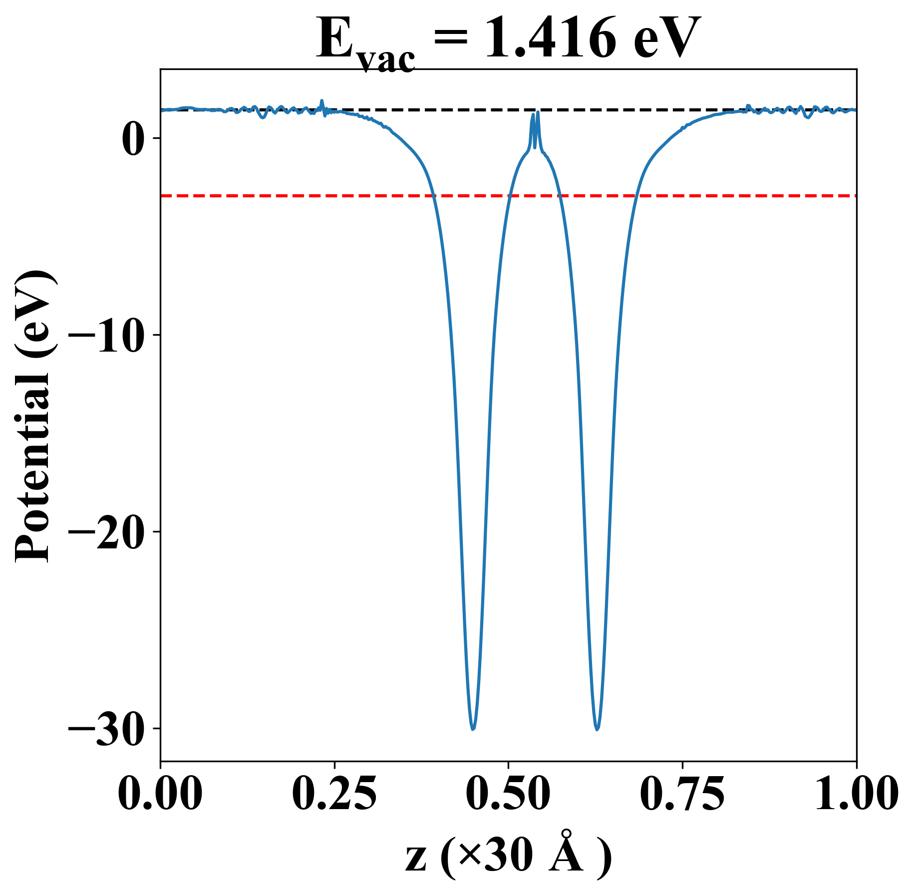
| Vacuum level |
1.416 eV |
| VBM |
-2.953 eV |
| CBM |
-2.952 eV |
| Work function |
4.369 eV |
| Direct gap |
No |
| Property |
Value |
| Band gap |
0.00 eV |
| E-fermi |
-2.952 eV |
| Vacuum level |
1.416 eV |
| VBM |
-2.953 eV |
| CBM |
-2.952 eV |
| Work function |
4.369 eV |
| Cij (N/m) |
xx |
yy |
xy |
| xx |
48.160 |
40.650 |
-0.000 |
| yy |
40.650 |
48.160 |
0.000 |
| xy |
-0.000 |
0.000 |
3.755 |
| Phonon mode at Γ point (THz) |
| -0.553 |
| -0.302 |
| -0.302 |
| -0.009 |
| -0.009 |
| -0.009 |
| 3.857 |
| 4.043 |
| 6.630 |
| 6.630 |
| 6.632 |
| 6.632 |
| Property |
Value |
| from where |
c2db-1621 |