Fe2P2Se6
MatHub2d-601-Fe2P2Se6
| Property |
Value |
| Space group |
(162, 'P-31m') |
| Crystal system |
hexagonal |
| Magnetic |
Yes |
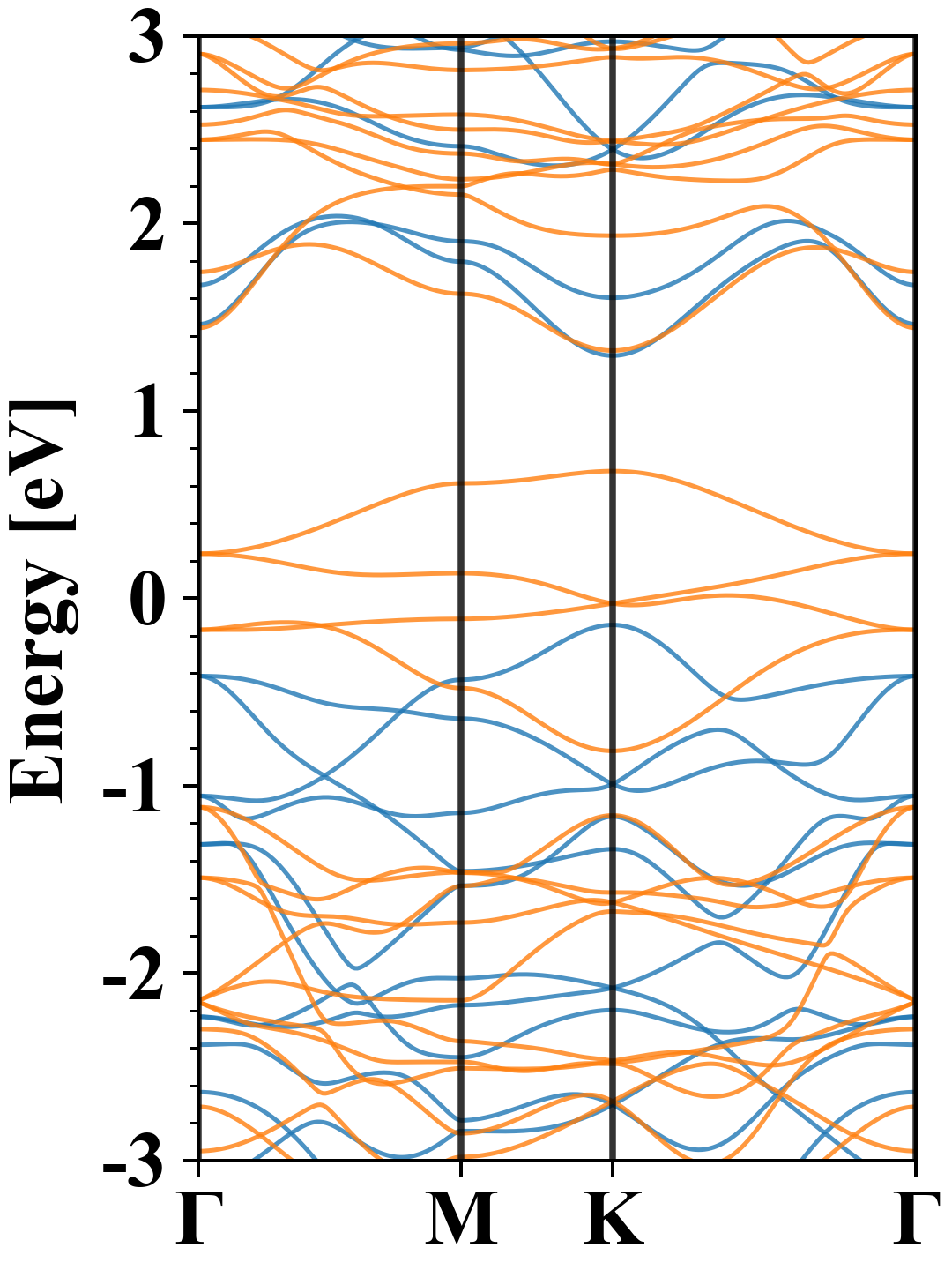
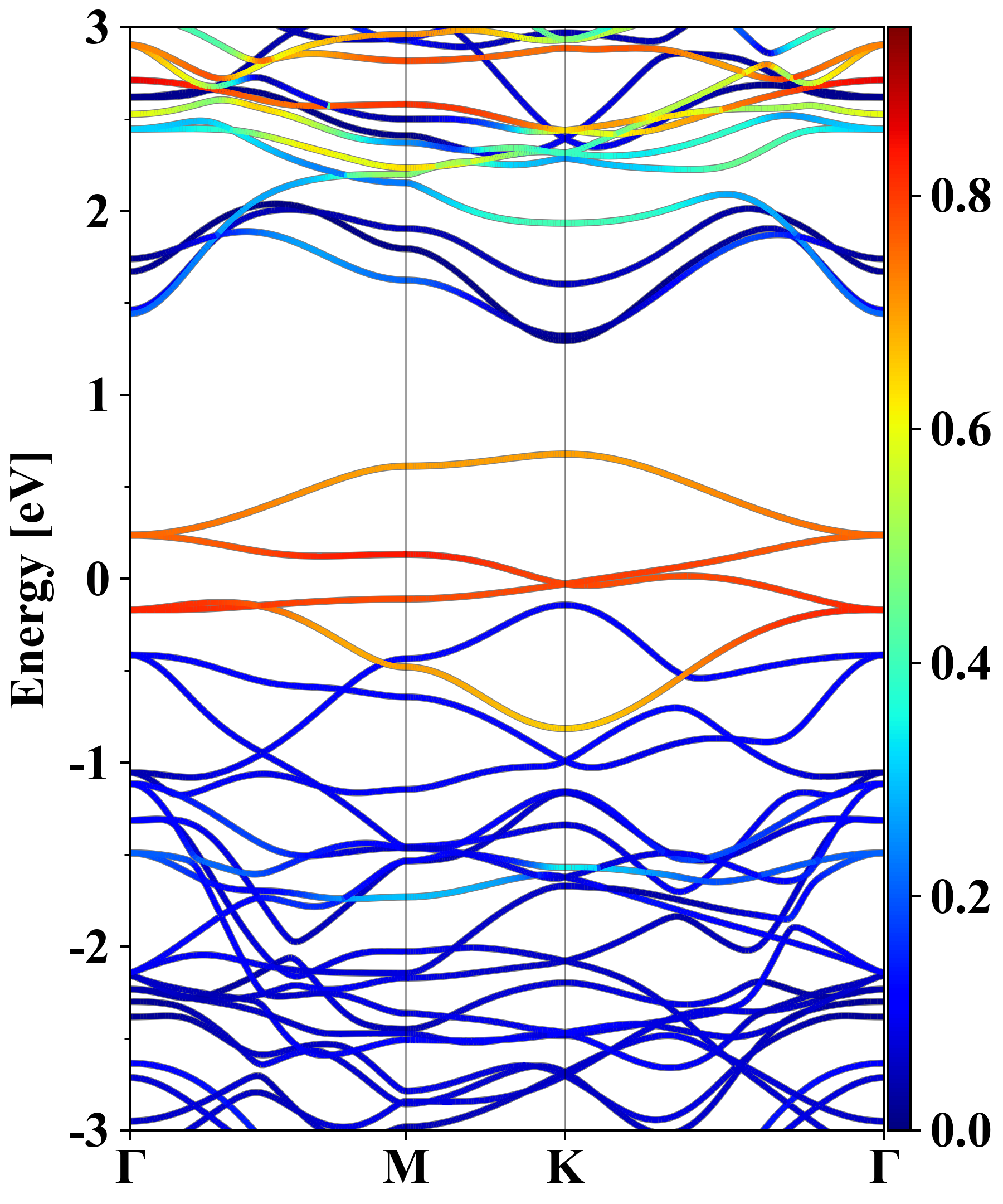
| Band gap (PBE) (eV) |
0.00 |
| Free energy (eV) |
-44.722 |
| Free energy / atom (eV) |
-4.472 |
Lattice Parameters (basic)
| a, b, c (Å): | 6.239 | 6.239 | 30.000 |
| α, β, γ (°): | 90.000 | 90.000 | 120.000 |
Lattice Parameters (computed)
| a, b, c (Å): | 6.340 | 6.340 | 30.000 |
| α, β, γ (°): | 90.000 | 90.000 | 120.000 |
| Property |
Value |
| Band gap |
0.00 eV |
| E-fermi |
-3.292 eV |
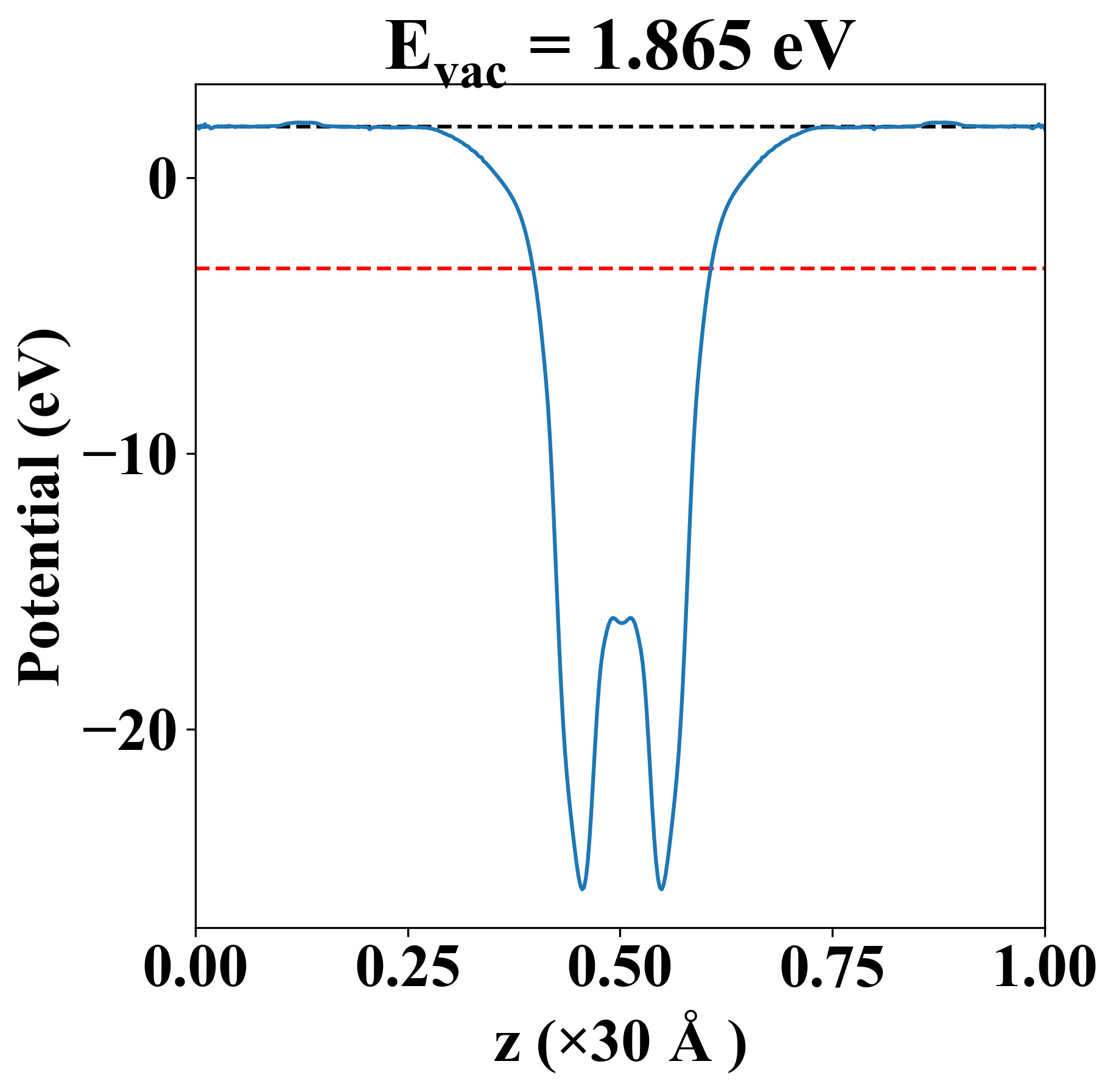
| Vacuum level |
1.865 eV |
| VBM |
-3.292 eV |
| CBM |
-3.291 eV |
| Work function |
5.157 eV |
| Direct gap |
No |
| Property |
Value |
| Band gap |
0.00 eV |
| E-fermi |
-3.292 eV |
| Vacuum level |
1.865 eV |
| VBM |
-3.292 eV |
| CBM |
-3.291 eV |
| Work function |
5.157 eV |
| Cij (N/m) |
xx |
yy |
xy |
| xx |
55.085 |
18.012 |
-0.000 |
| yy |
18.012 |
55.085 |
0.000 |
| xy |
-0.000 |
0.000 |
18.536 |
| Phonon mode at Γ point (THz) |
| -3.315 |
| -0.959 |
| -0.959 |
| -0.888 |
| -0.888 |
| -0.776 |
| 0.009 |
| 0.009 |
| 0.013 |
| 1.467 |
| 1.467 |
| 2.635 |
| 2.727 |
| 2.727 |
| 3.385 |
| 3.406 |
| 3.406 |
| 3.710 |
| 3.710 |
| 4.373 |
| 4.373 |
| 4.729 |
| 4.729 |
| 6.062 |
| 8.795 |
| 12.341 |
| 12.341 |
| 12.407 |
| 12.407 |
| 13.708 |
| Property |
Value |
| from where |
JVASP-27940 |