Cu2Se2
MatHub2d-582-Cu2Se2
| Property |
Value |
| Space group |
(187, 'P-6m2') |
| Crystal system |
hexagonal |
| Magnetic |
No |
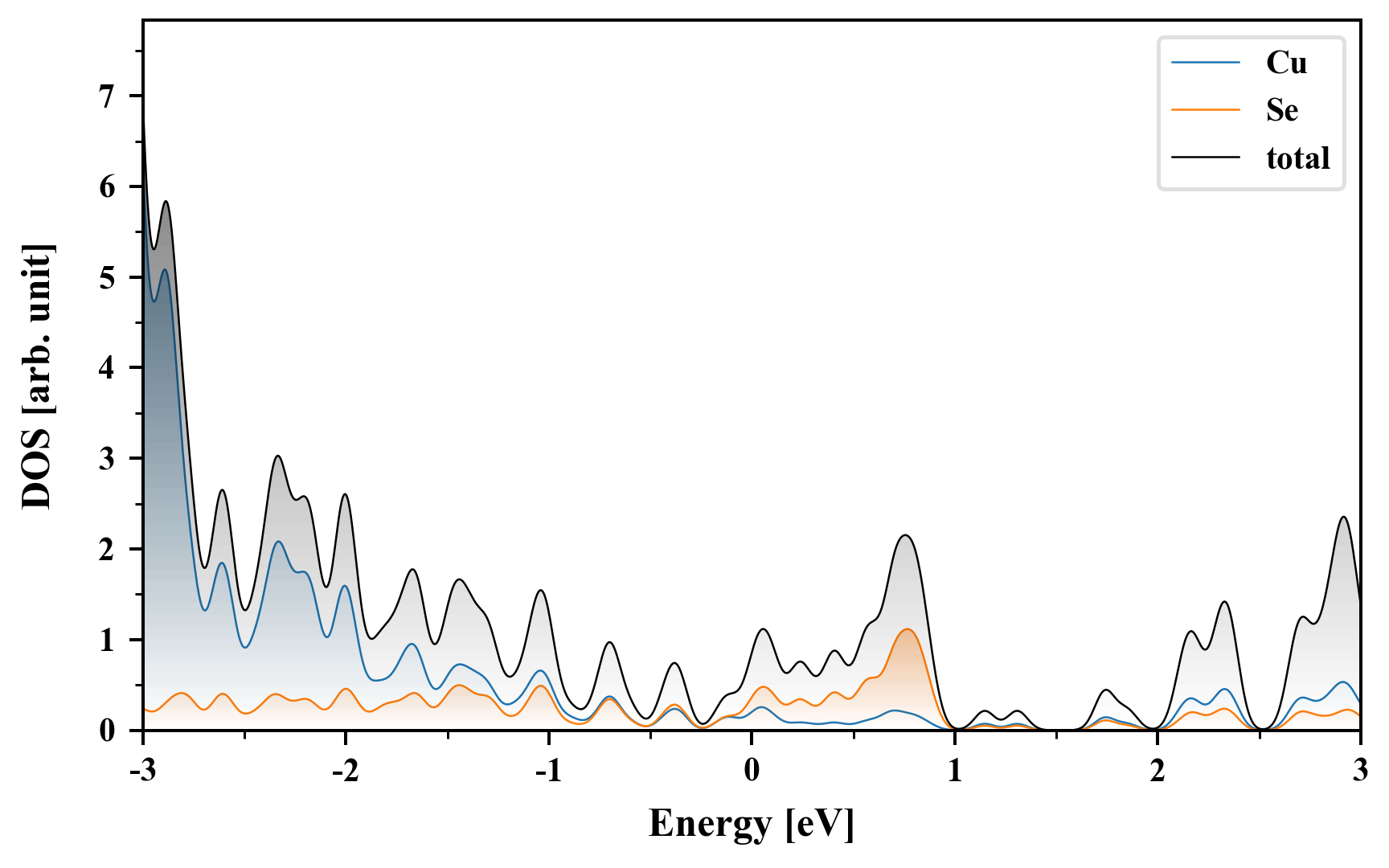
| Band gap (PBE) (eV) |
0.00 |
| Free energy (eV) |
-11.860 |
| Free energy / atom (eV) |
-2.965 |
Lattice Parameters (basic)
| a, b, c (Å): | 4.093 | 4.093 | 30.000 |
| α, β, γ (°): | 90.000 | 90.000 | 120.000 |
Lattice Parameters (computed)
| a, b, c (Å): | 4.133 | 4.133 | 30.000 |
| α, β, γ (°): | 90.000 | 90.000 | 120.000 |
| Property |
Value |
| Band gap |
0.00 eV |
| E-fermi |
-2.354 eV |
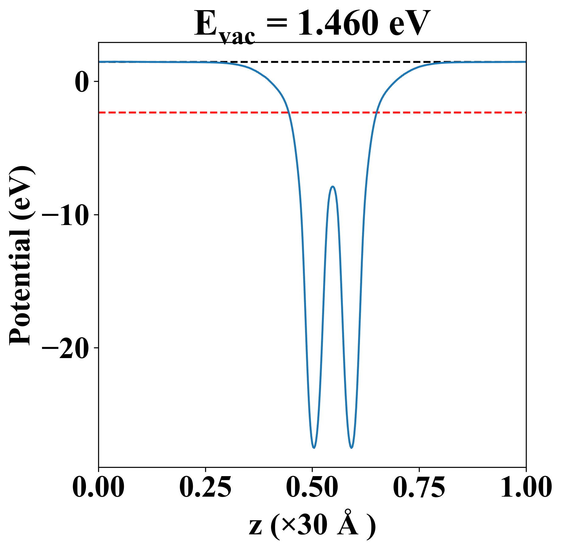
| Vacuum level |
1.460 eV |
| VBM |
-2.355 eV |
| CBM |
-2.353 eV |
| Work function |
3.815 eV |
| Direct gap |
No |
| Property |
Value |
| Band gap |
0.00 eV |
| E-fermi |
-2.354 eV |
| Vacuum level |
1.460 eV |
| VBM |
-2.355 eV |
| CBM |
-2.353 eV |
| Work function |
3.815 eV |
| Cij (N/m) |
xx |
yy |
xy |
| xx |
61.254 |
34.346 |
-0.000 |
| yy |
34.346 |
61.254 |
0.000 |
| xy |
-0.000 |
0.000 |
13.454 |
| Phonon mode at Γ point (THz) |
| -0.027 |
| -0.014 |
| -0.014 |
| 0.559 |
| 0.559 |
| 3.309 |
| 3.519 |
| 5.704 |
| 5.704 |
| 5.778 |
| 5.798 |
| 5.798 |
| Property |
Value |
| from where |
c2db-1617 |