Cu2O2
MatHub2d-580-Cu2O2
| Property |
Value |
| Space group |
(187, 'P-6m2') |
| Crystal system |
hexagonal |
| Magnetic |
Yes |
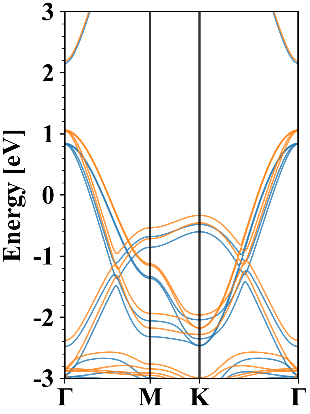
| Band gap (PBE) (eV) |
0.00 |
| Free energy (eV) |
-15.879 |
| Free energy / atom (eV) |
-3.970 |
Lattice Parameters (basic)
| a, b, c (Å): | 3.212 | 3.212 | 30.000 |
| α, β, γ (°): | 90.000 | 90.000 | 120.000 |
Lattice Parameters (computed)
| a, b, c (Å): | 3.180 | 3.180 | 30.000 |
| α, β, γ (°): | 90.000 | 90.000 | 120.000 |
| Property |
Value |
| Band gap |
0.00 eV |
| E-fermi |
-3.759 eV |
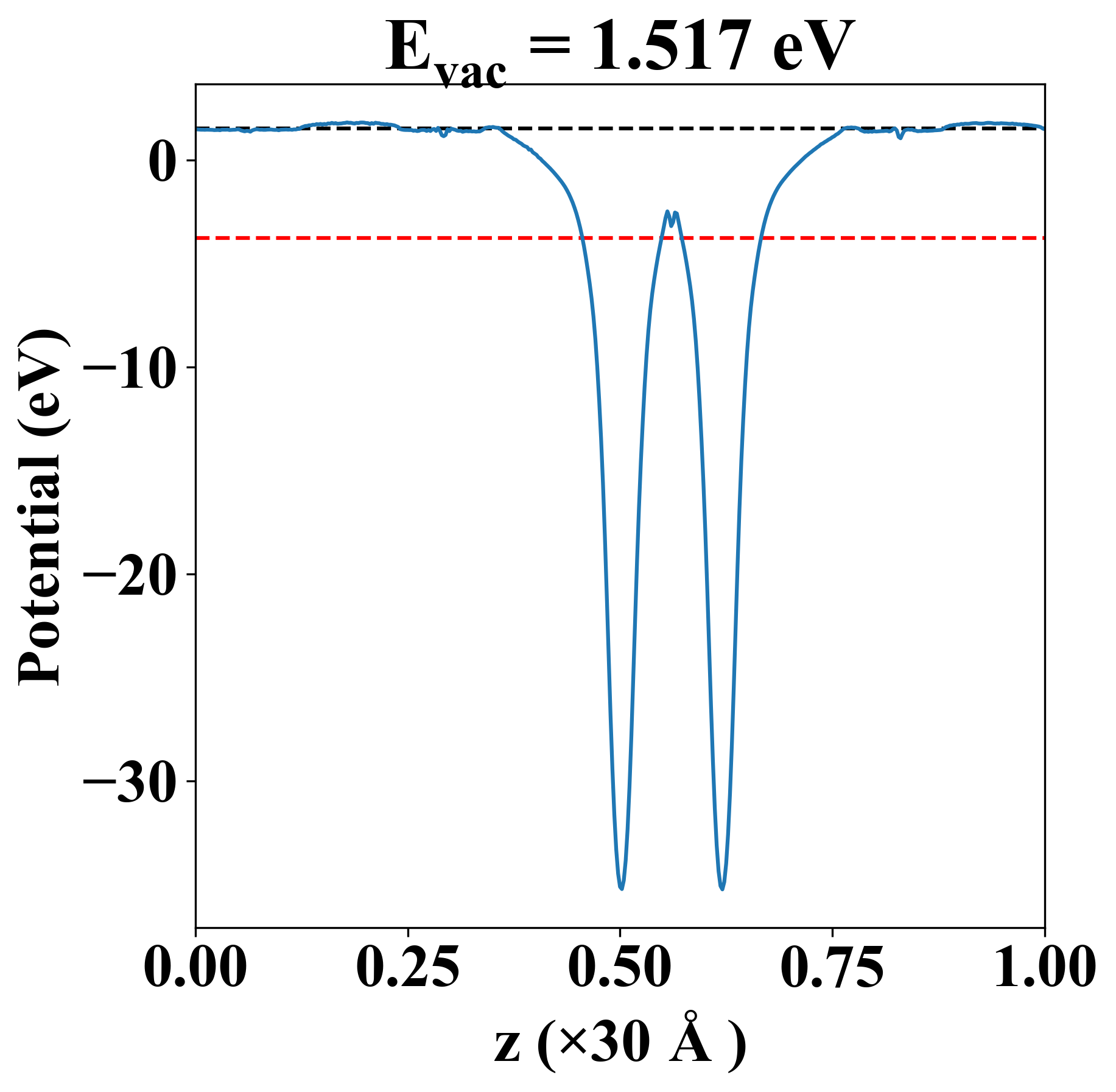
| Vacuum level |
1.517 eV |
| VBM |
-3.761 eV |
| CBM |
-3.757 eV |
| Work function |
5.275 eV |
| Direct gap |
No |
| Property |
Value |
| Band gap |
0.00 eV |
| E-fermi |
-3.759 eV |
| Vacuum level |
1.517 eV |
| VBM |
-3.761 eV |
| CBM |
-3.757 eV |
| Work function |
5.275 eV |
| Cij (N/m) |
xx |
yy |
xy |
| xx |
169.527 |
148.638 |
-0.000 |
| yy |
148.638 |
169.527 |
0.000 |
| xy |
-0.000 |
0.000 |
10.445 |
| Phonon mode at Γ point (THz) |
| -0.264 |
| -0.264 |
| -0.046 |
| -0.004 |
| -0.004 |
| 0.469 |
| 5.649 |
| 6.042 |
| 17.068 |
| 17.068 |
| 17.070 |
| 17.070 |
| Property |
Value |
| from where |
c2db-1615 |