Cu1S2
MatHub2d-572-Cu1S2
| Property |
Value |
| Space group |
(164, 'P-3m1') |
| Crystal system |
hexagonal |
| Magnetic |
Yes |
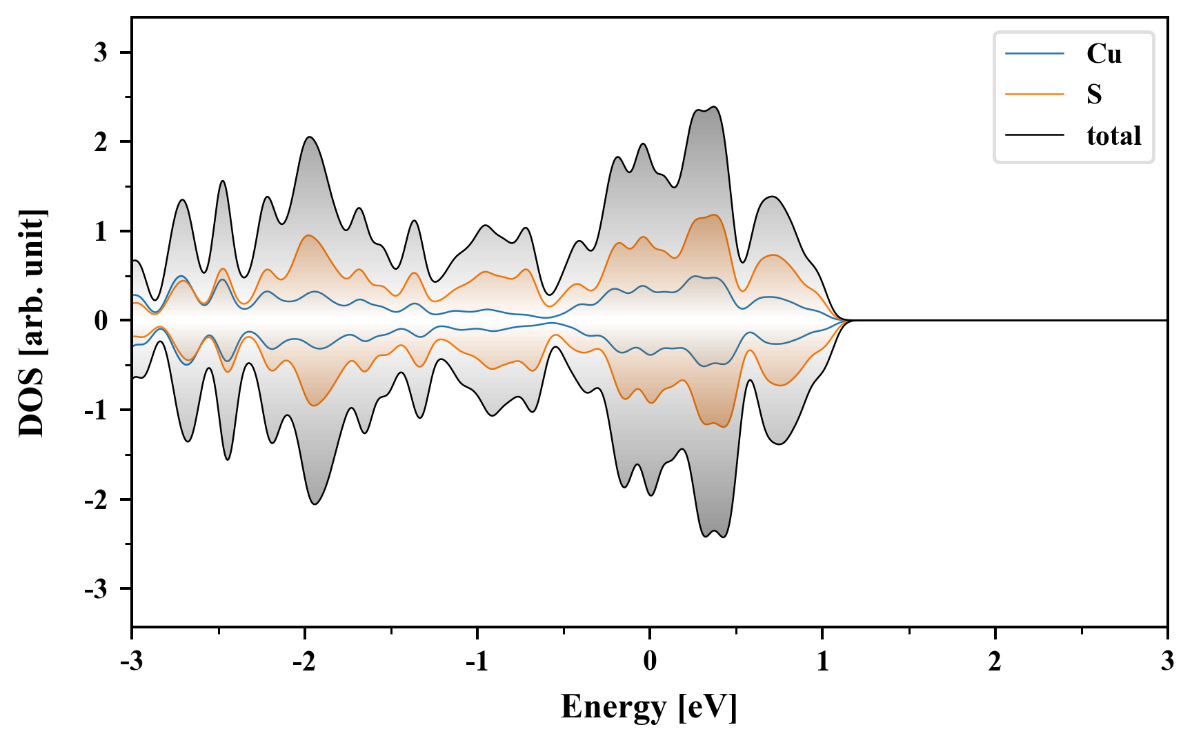
| Band gap (PBE) (eV) |
0.00 |
| Free energy (eV) |
-9.512 |
| Free energy / atom (eV) |
-3.171 |
Lattice Parameters (basic)
| a, b, c (Å): | 3.373 | 3.373 | 30.000 |
| α, β, γ (°): | 90.000 | 90.000 | 120.000 |
Lattice Parameters (computed)
| a, b, c (Å): | 3.352 | 3.352 | 30.000 |
| α, β, γ (°): | 90.000 | 90.000 | 120.000 |
| Property |
Value |
| Band gap |
0.00 eV |
| E-fermi |
-3.908 eV |
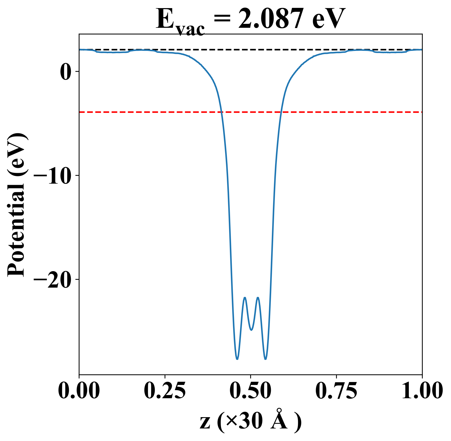
| Vacuum level |
2.087 eV |
| VBM |
-3.910 eV |
| CBM |
-3.907 eV |
| Work function |
5.995 eV |
| Direct gap |
No |
| Property |
Value |
| Band gap |
0.00 eV |
| E-fermi |
-3.908 eV |
| Vacuum level |
2.087 eV |
| VBM |
-3.910 eV |
| CBM |
-3.907 eV |
| Work function |
5.995 eV |
| Cij (N/m) |
xx |
yy |
xy |
| xx |
35.153 |
15.476 |
0.000 |
| yy |
15.476 |
35.153 |
0.000 |
| xy |
0.000 |
0.000 |
9.838 |
| Phonon mode at Γ point (THz) |
| -0.012 |
| -0.012 |
| -0.002 |
| 3.221 |
| 3.221 |
| 7.875 |
| 8.937 |
| 8.937 |
| 9.008 |
| Property |
Value |
| from where |
c2db-474 |