Cr1Te2
MatHub2d-561-Cr1Te2
| Property |
Value |
| Space group |
(187, 'P-6m2') |
| Crystal system |
hexagonal |
| Magnetic |
Yes |
| Band gap (PBE) (eV) |
0.00 |
| Free energy (eV) |
-12.020 |
| Free energy / atom (eV) |
-4.007 |
Lattice Parameters (basic)
| a, b, c (Å): | 3.470 | 3.470 | 30.000 |
| α, β, γ (°): | 90.000 | 90.000 | 120.000 |
Lattice Parameters (computed)
| a, b, c (Å): | 3.604 | 3.604 | 30.000 |
| α, β, γ (°): | 90.000 | 90.000 | 120.000 |
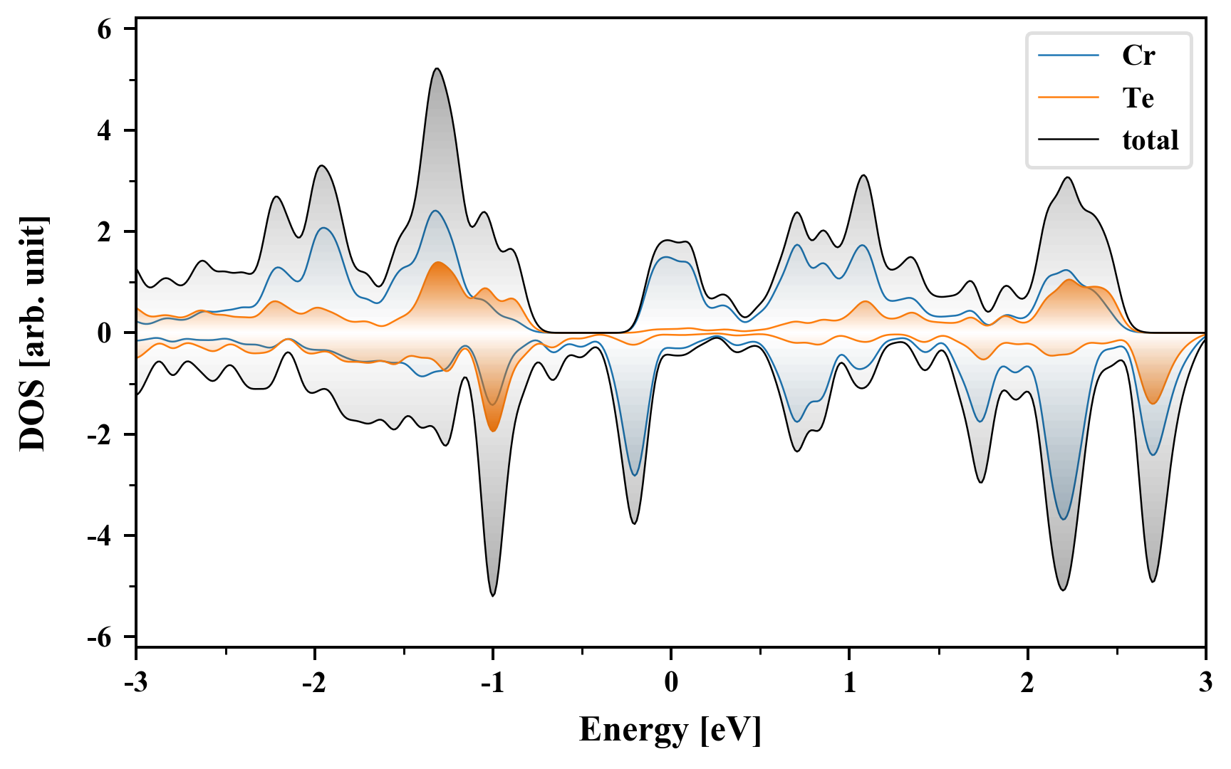
| Property |
Value |
| Band gap |
0.00 eV |
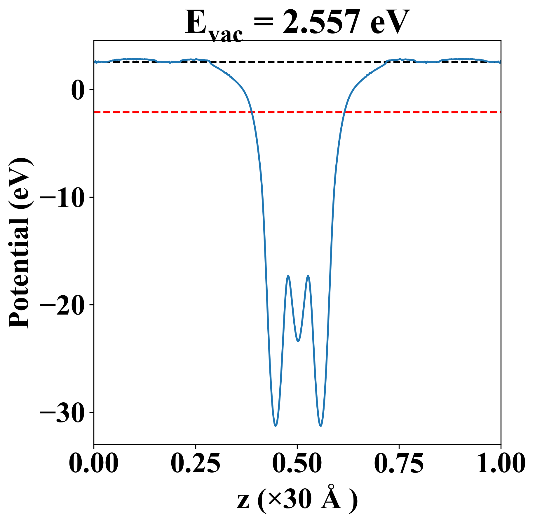
| E-fermi |
-2.112 eV |
| Vacuum level |
2.557 eV |
| VBM |
-2.114 eV |
| CBM |
-2.110 eV |
| Work function |
4.669 eV |
| Direct gap |
No |
| Property |
Value |
| Band gap |
0.00 eV |
| E-fermi |
-2.112 eV |
| Vacuum level |
2.557 eV |
| VBM |
-2.114 eV |
| CBM |
-2.110 eV |
| Work function |
4.669 eV |
| Cij (N/m) |
xx |
yy |
xy |
| xx |
59.011 |
20.144 |
0.000 |
| yy |
20.144 |
59.011 |
-0.000 |
| xy |
0.000 |
-0.000 |
19.434 |
| Phonon mode at Γ point (THz) |
| -0.003 |
| -0.001 |
| -0.001 |
| 2.924 |
| 2.924 |
| 4.731 |
| 7.429 |
| 7.429 |
| 9.416 |
| Property |
Value |
| from where |
c2db-471 |