Cr1Se2
MatHub2d-559-Cr1Se2
| Property |
Value |
| Space group |
(187, 'P-6m2') |
| Crystal system |
hexagonal |
| Magnetic |
No |
| Band gap (PBE) (eV) |
0.70 |
| Free energy (eV) |
-13.687 |
| Free energy / atom (eV) |
-4.562 |
Lattice Parameters (basic)
| a, b, c (Å): | 3.210 | 3.210 | 30.000 |
| α, β, γ (°): | 90.000 | 90.000 | 120.000 |
Lattice Parameters (computed)
| a, b, c (Å): | 3.223 | 3.223 | 30.000 |
| α, β, γ (°): | 90.000 | 90.000 | 120.000 |
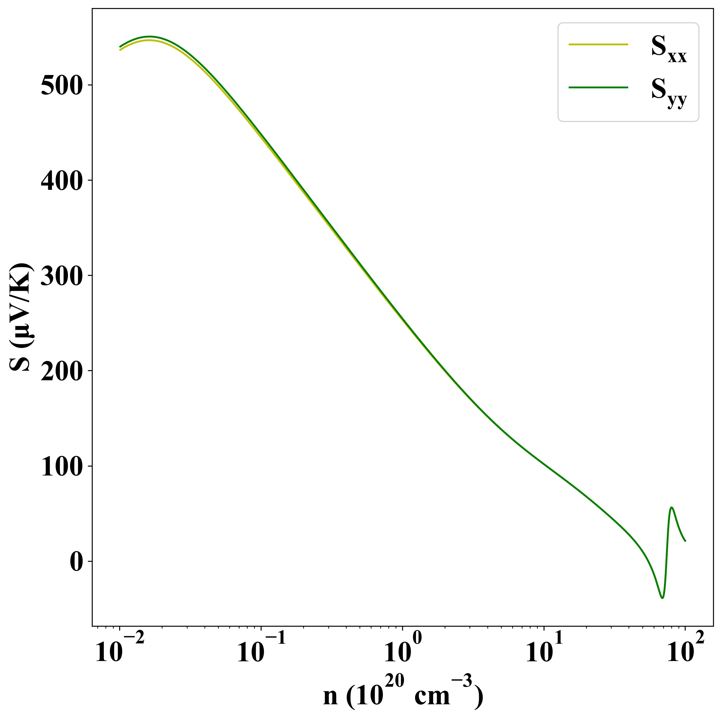
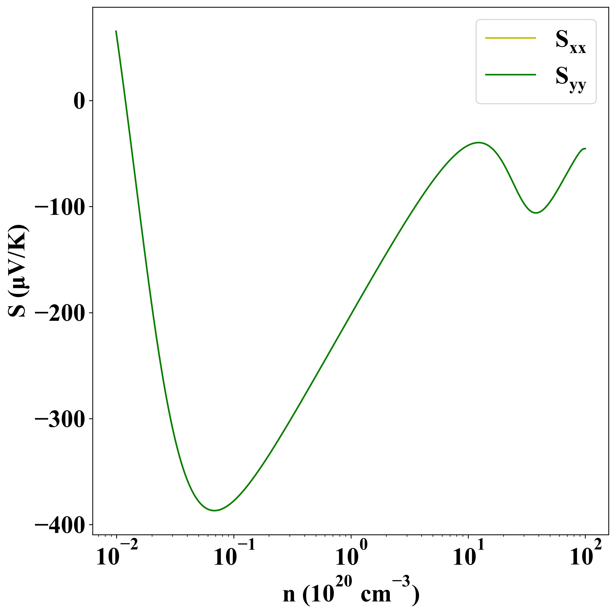
| Property |
Value |
| Band gap |
0.70 eV |
| E-fermi |
-2.737 eV |
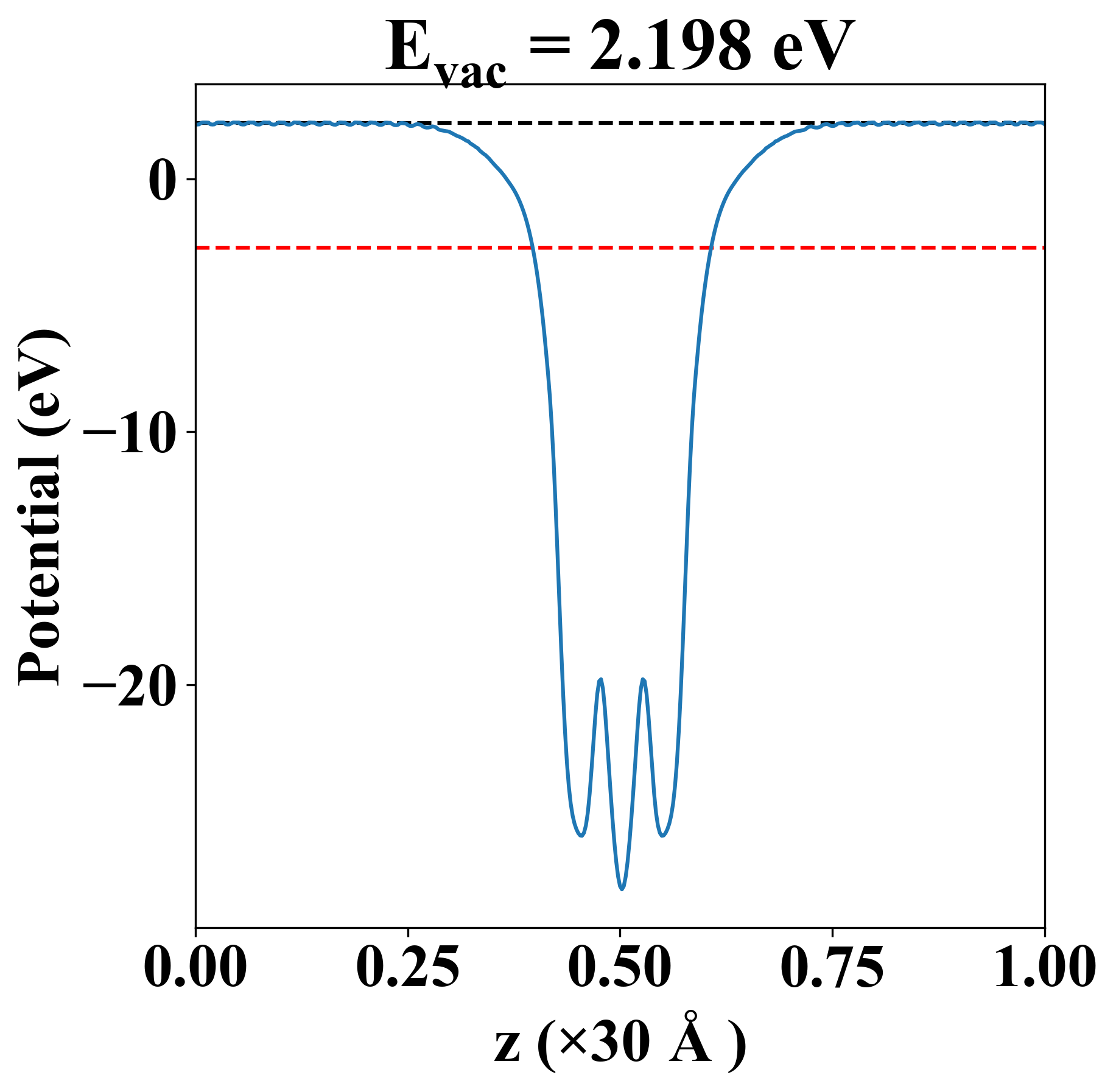
| Vacuum level |
2.198 eV |
| VBM |
-2.981 eV |
| CBM |
-2.284 eV |
| Work function |
4.935 eV |
| Direct gap |
Yes |
| Property |
Value |
| Band gap |
0.70 eV |
| E-fermi |
-2.737 eV |
| Vacuum level |
2.198 eV |
| VBM |
-2.981 eV |
| CBM |
-2.284 eV |
| Work function |
4.935 eV |
| Cij (N/m) |
xx |
yy |
xy |
| xx |
96.511 |
28.144 |
-0.000 |
| yy |
28.144 |
96.511 |
0.000 |
| xy |
-0.000 |
0.000 |
34.184 |
| Phonon mode at Γ point (THz) |
| -0.009 |
| -0.004 |
| -0.004 |
| 4.415 |
| 4.415 |
| 6.785 |
| 9.395 |
| 9.395 |
| 11.629 |
| Property |
Value |
| from where |
c2db-469 |