Cl6Ti2
MatHub2d-511-Cl6Ti2
| Property |
Value |
| Space group |
(162, 'P-31m') |
| Crystal system |
hexagonal |
| Magnetic |
Yes |
| Band gap (PBE) (eV) |
2.63 |
| Free energy (eV) |
-35.292 |
| Free energy / atom (eV) |
-4.412 |
Lattice Parameters (basic)
| a, b, c (Å): | 6.008 | 6.008 | 30.000 |
| α, β, γ (°): | 90.000 | 90.000 | 120.000 |
Lattice Parameters (computed)
| a, b, c (Å): | 6.415 | 6.415 | 30.000 |
| α, β, γ (°): | 90.000 | 90.000 | 120.000 |
| Property |
Value |
| Band gap |
2.63 eV |
| E-fermi |
-5.338 eV |
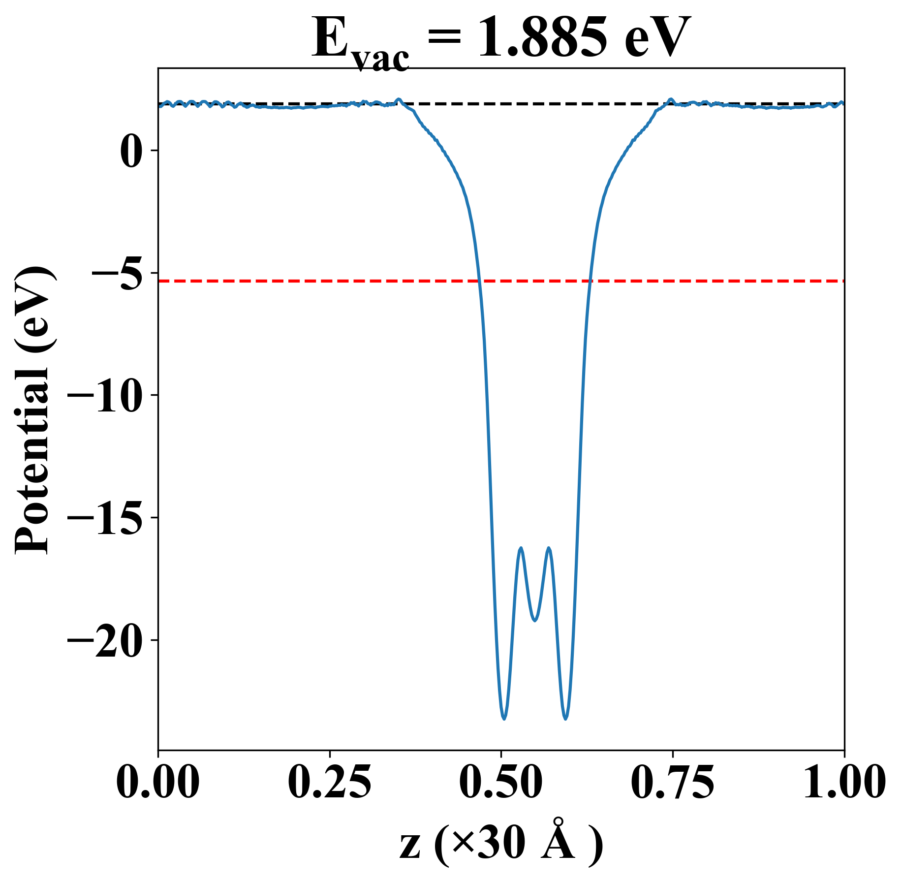
| Vacuum level |
1.885 eV |
| VBM |
-5.593 eV |
| CBM |
-2.960 eV |
| Work function |
7.224 eV |
| Direct gap |
No |
| Property |
Value |
| Band gap |
2.63 eV |
| E-fermi |
-5.329 eV |
| VBM |
-5.601 eV |
| CBM |
-2.971 eV |
| Free energy (eV) |
-35.314 |
| Free energy / atom (eV) |
-4.414 |
| Property |
Value |
| Band gap |
2.63 eV |
| E-fermi |
-5.338 eV |
| Vacuum level |
1.885 eV |
| VBM |
-5.593 eV |
| CBM |
-2.960 eV |
| Work function |
7.224 eV |
| Cij (N/m) |
xx |
yy |
xy |
| xx |
17.117 |
-1.459 |
0.000 |
| yy |
-1.459 |
17.117 |
-0.000 |
| xy |
0.000 |
-0.000 |
9.288 |
| Phonon mode at Γ point (THz) |
| -1.257 |
| -1.257 |
| -0.007 |
| -0.007 |
| -0.005 |
| 2.758 |
| 2.758 |
| 2.806 |
| 3.382 |
| 3.561 |
| 3.753 |
| 3.753 |
| 5.119 |
| 5.119 |
| 5.852 |
| 5.852 |
| 5.939 |
| 6.556 |
| 6.556 |
| 6.717 |
| 7.236 |
| 8.134 |
| 8.134 |
| 9.876 |
| Property |
Value |
| from where |
JVASP-13632 |