Cl6Ta2
MatHub2d-509-Cl6Ta2
| Property |
Value |
| Space group |
(162, 'P-31m') |
| Crystal system |
hexagonal |
| Magnetic |
Yes |
| Band gap (PBE) (eV) |
0.00 |
| Free energy (eV) |
-39.904 |
| Free energy / atom (eV) |
-4.988 |
Lattice Parameters (basic)
| a, b, c (Å): | 5.774 | 5.774 | 30.000 |
| α, β, γ (°): | 90.000 | 90.000 | 120.000 |
Lattice Parameters (computed)
| a, b, c (Å): | 5.803 | 5.803 | 30.000 |
| α, β, γ (°): | 90.000 | 90.000 | 120.000 |
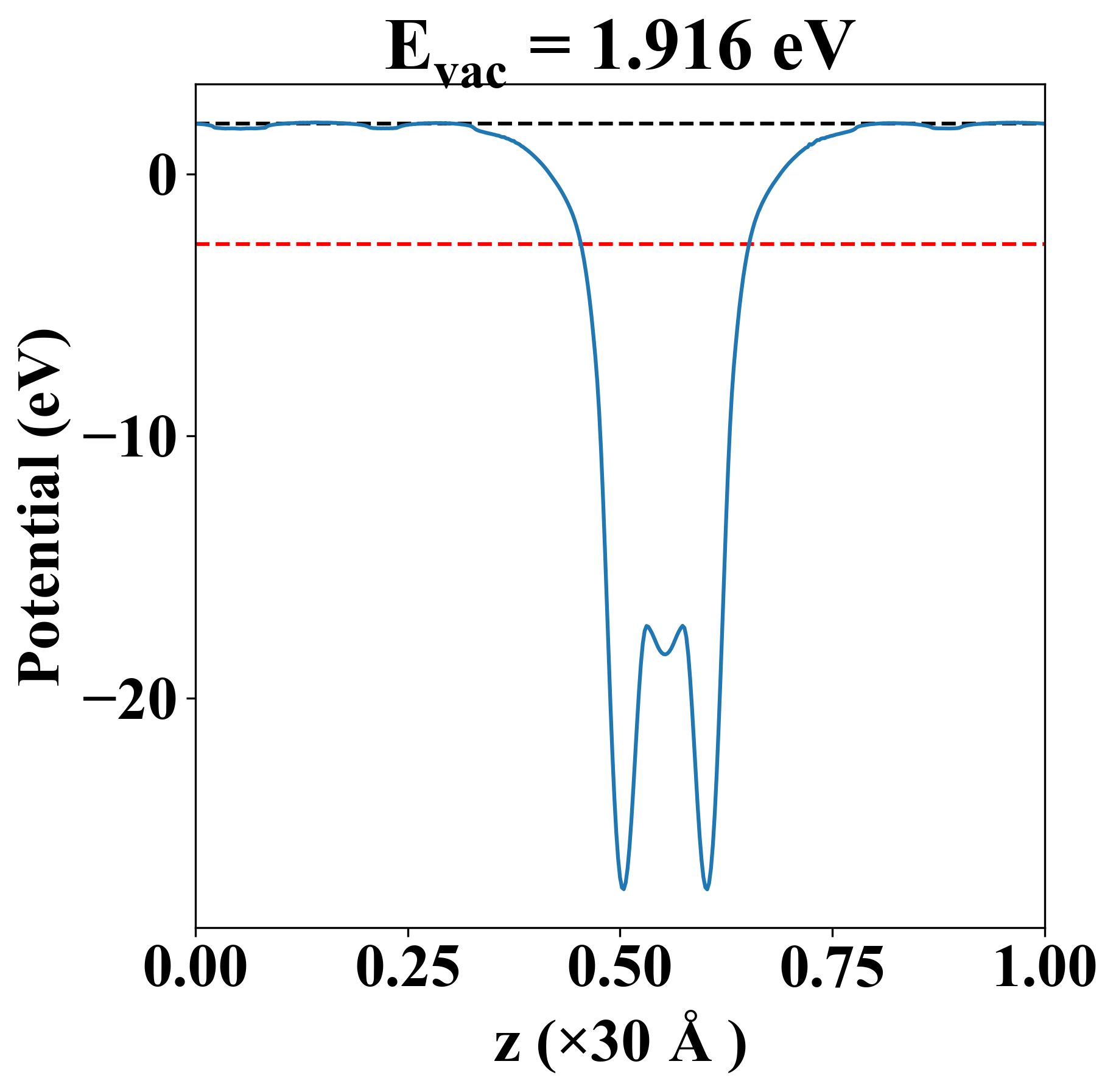
| Property |
Value |
| Band gap |
0.00 eV |
| E-fermi |
-2.666 eV |
| Vacuum level |
1.916 eV |
| VBM |
-2.667 eV |
| CBM |
-2.666 eV |
| Work function |
4.582 eV |
| Direct gap |
No |
| Property |
Value |
| Band gap |
0.00 eV |
| E-fermi |
-2.666 eV |
| Vacuum level |
1.916 eV |
| VBM |
-2.667 eV |
| CBM |
-2.666 eV |
| Work function |
4.582 eV |
| Cij (N/m) |
xx |
yy |
xy |
| xx |
44.742 |
21.117 |
0.000 |
| yy |
21.117 |
44.742 |
0.000 |
| xy |
0.000 |
0.000 |
11.813 |
| Phonon mode at Γ point (THz) |
| -3.974 |
| -3.974 |
| -0.003 |
| -0.003 |
| 0.001 |
| 3.126 |
| 3.126 |
| 3.310 |
| 4.288 |
| 4.288 |
| 4.680 |
| 4.979 |
| 6.921 |
| 6.921 |
| 6.989 |
| 6.989 |
| 7.349 |
| 8.114 |
| 8.314 |
| 8.314 |
| 8.537 |
| 8.537 |
| 9.241 |
| 9.560 |
| Property |
Value |
| from where |
c2db-1190 |