Cl6In2
MatHub2d-482-Cl6In2
| Property |
Value |
| Space group |
(162, 'P-31m') |
| Crystal system |
hexagonal |
| Magnetic |
No |
| Band gap (PBE) (eV) |
3.86 |
| Free energy (eV) |
-25.037 |
| Free energy / atom (eV) |
-3.130 |
Lattice Parameters (basic)
| a, b, c (Å): | 6.575 | 6.575 | 30.000 |
| α, β, γ (°): | 90.000 | 90.000 | 120.000 |
Lattice Parameters (computed)
| a, b, c (Å): | 6.551 | 6.551 | 30.000 |
| α, β, γ (°): | 90.000 | 90.000 | 120.000 |
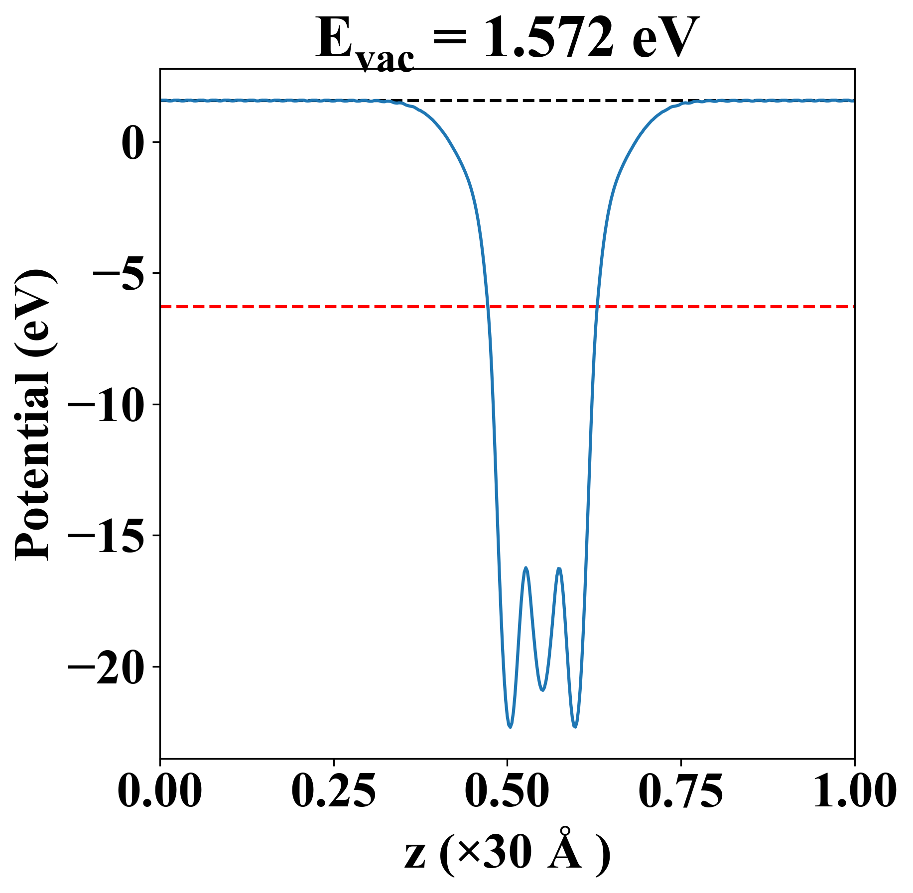
| Property |
Value |
| Band gap |
3.86 eV |
| E-fermi |
-6.282 eV |
| Vacuum level |
1.572 eV |
| VBM |
-6.574 eV |
| CBM |
-2.709 eV |
| Work function |
7.854 eV |
| Direct gap |
No |
| Property |
Value |
| Band gap |
3.86 eV |
| E-fermi |
-6.354 eV |
| VBM |
-6.573 eV |
| CBM |
-2.713 eV |
| Free energy (eV) |
-25.106 |
| Free energy / atom (eV) |
-3.138 |
| Property |
Value |
| Band gap |
3.86 eV |
| E-fermi |
-6.282 eV |
| Vacuum level |
1.572 eV |
| VBM |
-6.574 eV |
| CBM |
-2.709 eV |
| Work function |
7.854 eV |
| Cij (N/m) |
xx |
yy |
xy |
| xx |
22.519 |
9.792 |
-0.000 |
| yy |
9.792 |
22.519 |
-0.000 |
| xy |
-0.000 |
-0.000 |
6.363 |
| Phonon mode at Γ point (THz) |
| -0.002 |
| -0.002 |
| 0.001 |
| 1.920 |
| 2.100 |
| 2.100 |
| 2.617 |
| 3.056 |
| 3.093 |
| 3.093 |
| 3.776 |
| 3.776 |
| 4.924 |
| 4.924 |
| 6.018 |
| 6.018 |
| 6.522 |
| 6.522 |
| 7.184 |
| 7.645 |
| 7.774 |
| 8.178 |
| 8.178 |
| 8.521 |
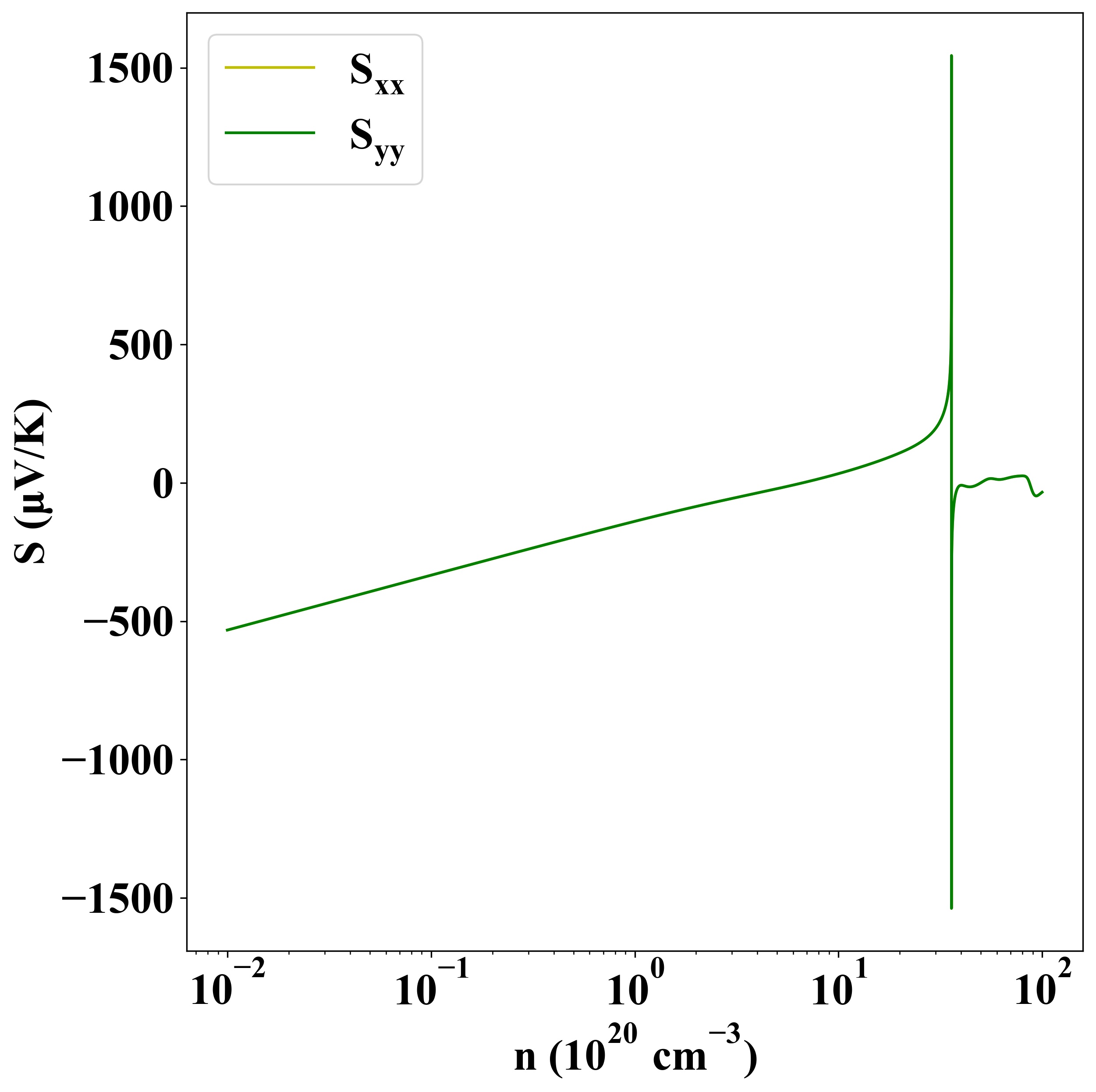
| Carrier type |
C2D (N/m) |
Edef (eV) |
μ (cm2V-1s-1) |
| x |
y |
x |
y |
x |
y |
| hole |
22.35 |
22.12 |
-1.32 |
-1.45 |
-8.35 |
-6.79 |
| electron |
-4.90 |
-5.10 |
27.11 |
24.78 |
| Property |
Value |
| from where |
c2db-1144 |