Cl6Cr2
MatHub2d-470-Cl6Cr2
| Property |
Value |
| Space group |
(189, 'P-62m') |
| Crystal system |
hexagonal |
| Magnetic |
Yes |
| Band gap (PBE) (eV) |
1.19 |
| Free energy (eV) |
-33.260 |
| Free energy / atom (eV) |
-4.158 |
Lattice Parameters (basic)
| a, b, c (Å): | 6.243 | 6.243 | 30.000 |
| α, β, γ (°): | 90.000 | 90.000 | 120.000 |
Lattice Parameters (computed)
| a, b, c (Å): | 6.321 | 6.321 | 30.000 |
| α, β, γ (°): | 90.000 | 90.000 | 120.000 |
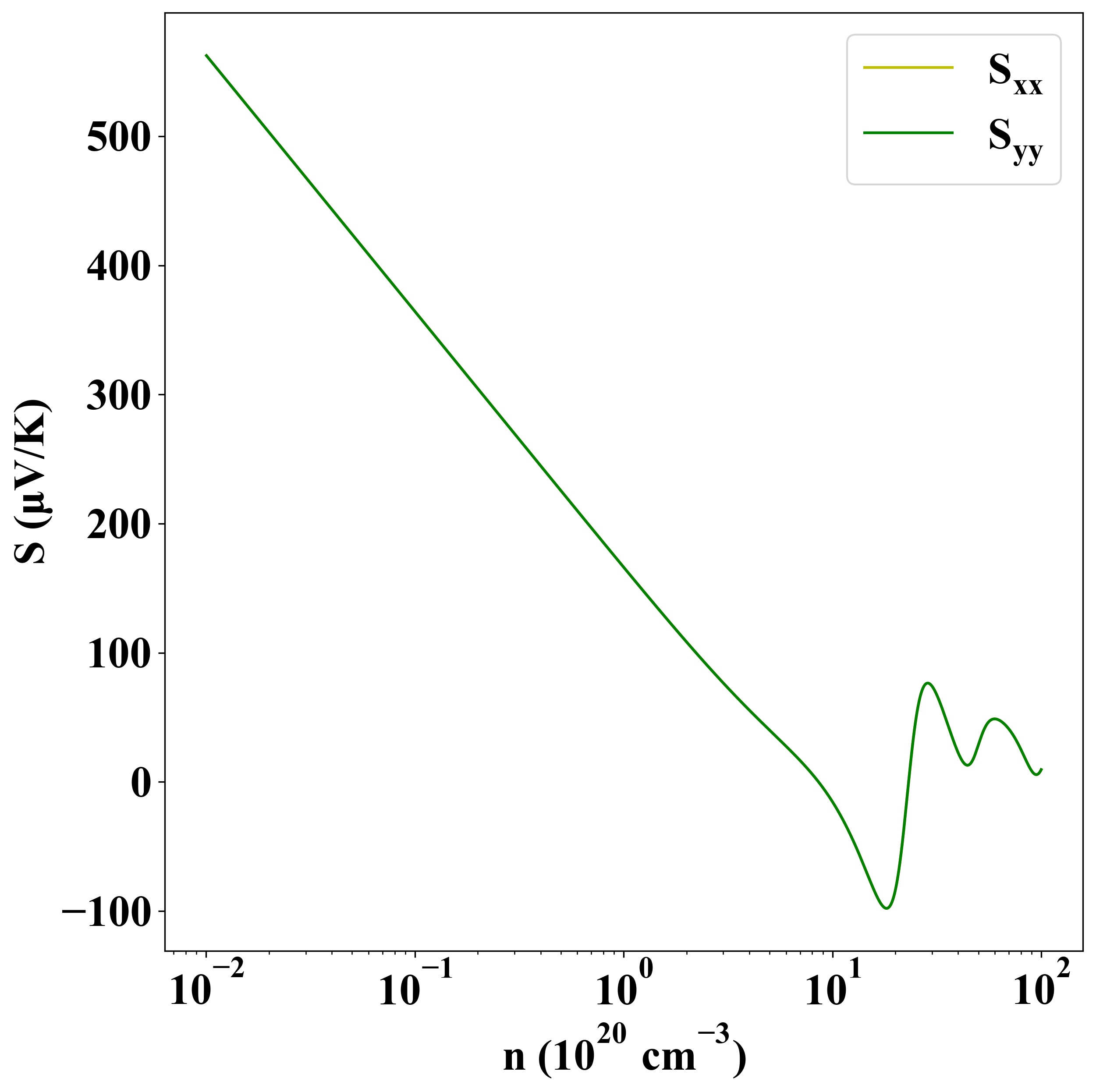
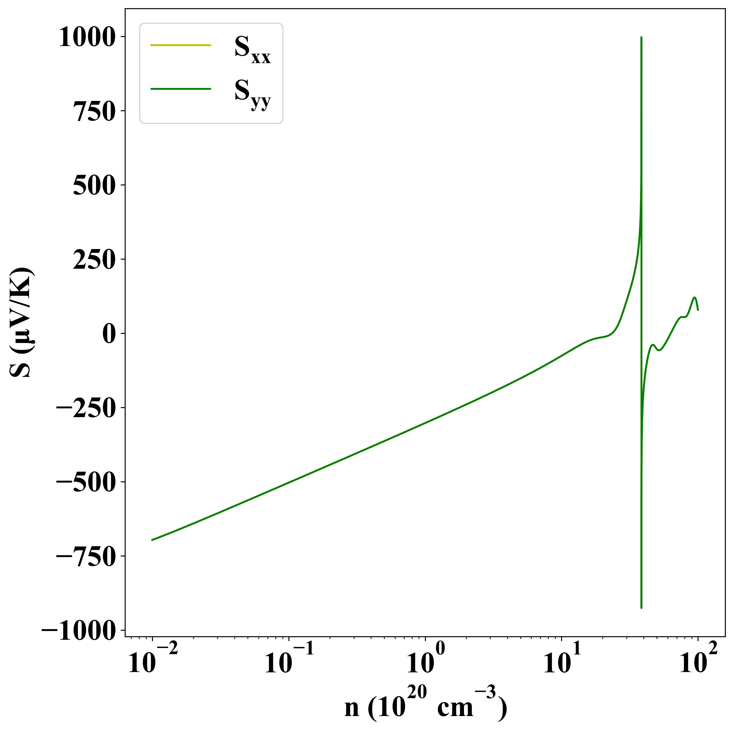
| Property |
Value |
| Band gap |
1.19 eV |
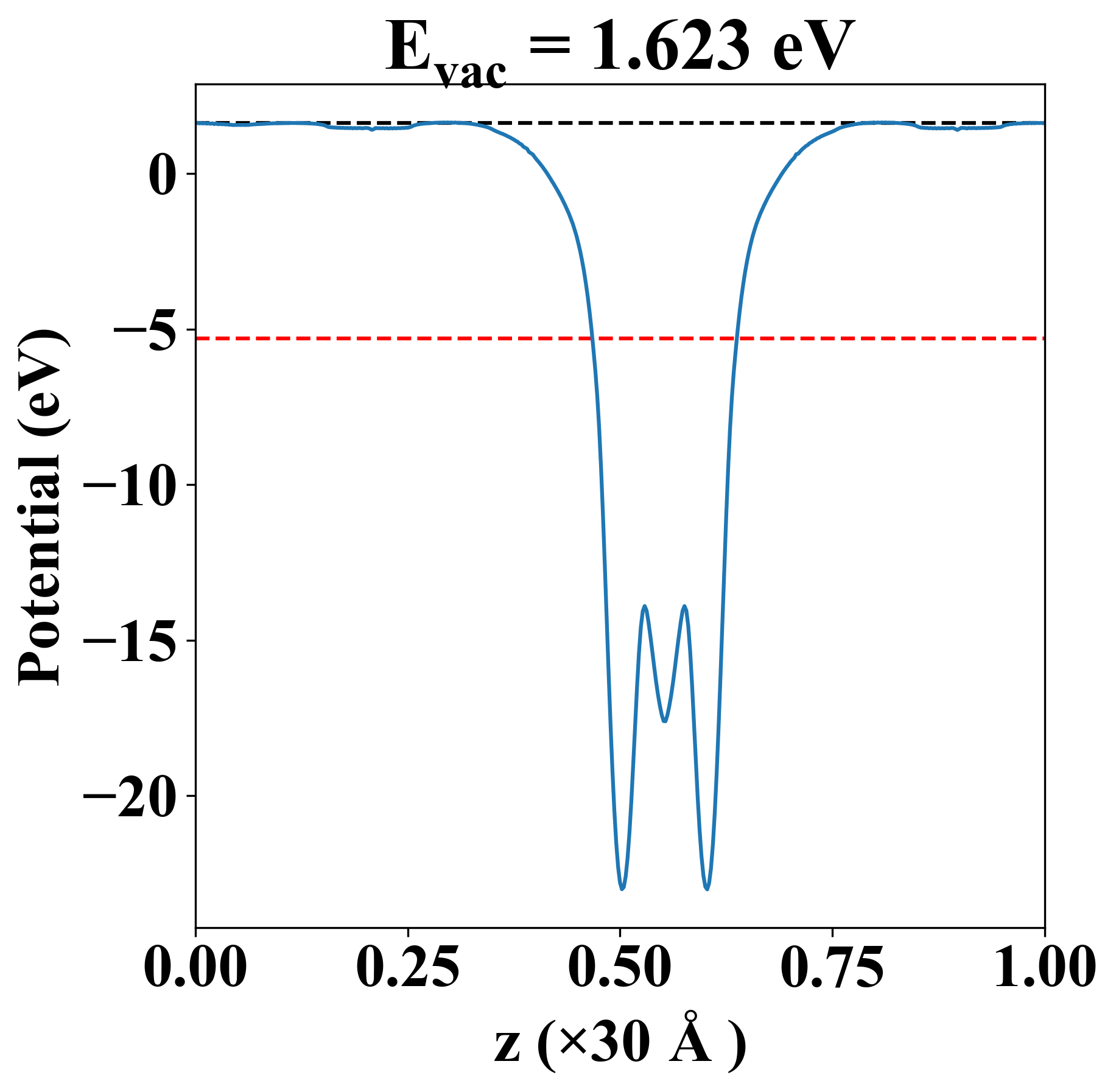
| E-fermi |
-5.296 eV |
| Vacuum level |
1.623 eV |
| VBM |
-5.517 eV |
| CBM |
-4.327 eV |
| Work function |
6.918 eV |
| Direct gap |
No |
| Property |
Value |
| Band gap |
1.17 eV |
| E-fermi |
-5.181 eV |
| VBM |
-5.510 eV |
| CBM |
-4.335 eV |
| Free energy (eV) |
-33.293 |
| Free energy / atom (eV) |
-4.162 |
| Property |
Value |
| Band gap |
1.19 eV |
| E-fermi |
-5.296 eV |
| Vacuum level |
1.623 eV |
| VBM |
-5.517 eV |
| CBM |
-4.327 eV |
| Work function |
6.918 eV |
| Cij (N/m) |
xx |
yy |
xy |
| xx |
22.436 |
-2.331 |
-0.000 |
| yy |
-2.331 |
22.436 |
0.000 |
| xy |
-0.000 |
0.000 |
12.383 |
| Phonon mode at Γ point (THz) |
| -0.014 |
| -0.012 |
| -0.012 |
| 1.872 |
| 2.822 |
| 2.822 |
| 2.960 |
| 4.134 |
| 4.134 |
| 4.824 |
| 4.824 |
| 5.187 |
| 5.584 |
| 5.584 |
| 6.108 |
| 6.108 |
| 6.425 |
| 6.425 |
| 6.987 |
| 7.084 |
| 7.084 |
| 7.284 |
| 7.464 |
| 8.235 |
| Property |
Value |
| from where |
c2db-1241 |