Cl2Y1
MatHub2d-461-Cl2Y1
| Property |
Value |
| Space group |
(187, 'P-6m2') |
| Crystal system |
hexagonal |
| Magnetic |
Yes |
| Band gap (PBE) (eV) |
0.00 |
| Free energy (eV) |
-16.152 |
| Free energy / atom (eV) |
-5.384 |
Lattice Parameters (basic)
| a, b, c (Å): | 3.730 | 3.730 | 30.000 |
| α, β, γ (°): | 90.000 | 90.000 | 120.000 |
Lattice Parameters (computed)
| a, b, c (Å): | 3.734 | 3.734 | 30.000 |
| α, β, γ (°): | 90.000 | 90.000 | 120.000 |
| Property |
Value |
| Band gap |
0.00 eV |
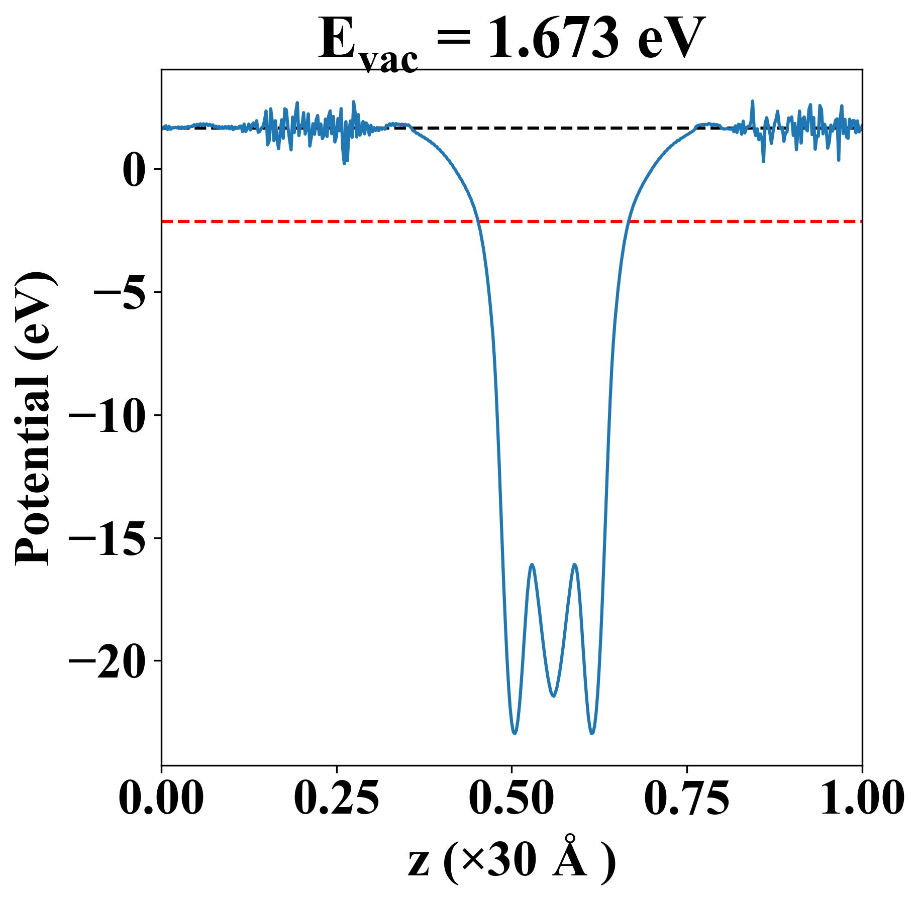
| E-fermi |
-2.144 eV |
| Vacuum level |
1.673 eV |
| VBM |
-2.333 eV |
| CBM |
-1.952 eV |
| Work function |
3.817 eV |
| Direct gap |
No |
| Property |
Value |
| Band gap |
0.38 eV |
| E-fermi |
-2.162 eV |
| VBM |
-2.351 eV |
| CBM |
-1.970 eV |
| Free energy (eV) |
-16.202 |
| Free energy / atom (eV) |
-5.401 |
| Property |
Value |
| Band gap |
0.00 eV |
| E-fermi |
-2.144 eV |
| Vacuum level |
1.673 eV |
| VBM |
-2.333 eV |
| CBM |
-1.952 eV |
| Work function |
3.817 eV |
| Cij (N/m) |
xx |
yy |
xy |
| xx |
44.773 |
17.220 |
0.000 |
| yy |
17.220 |
44.773 |
-0.000 |
| xy |
0.000 |
-0.000 |
13.777 |
| Phonon mode at Γ point (THz) |
| -0.001 |
| -0.001 |
| 0.001 |
| 4.418 |
| 4.418 |
| 4.855 |
| 4.855 |
| 6.757 |
| 8.522 |
| Property |
Value |
| from where |
c2db-1082 |