Cl2Sc1
MatHub2d-443-Cl2Sc1
| Property |
Value |
| Space group |
(187, 'P-6m2') |
| Crystal system |
hexagonal |
| Magnetic |
Yes |
| Band gap (PBE) (eV) |
0.00 |
| Free energy (eV) |
-14.369 |
| Free energy / atom (eV) |
-4.790 |
Lattice Parameters (basic)
| a, b, c (Å): | 3.518 | 3.518 | 30.000 |
| α, β, γ (°): | 90.000 | 90.000 | 120.000 |
Lattice Parameters (computed)
| a, b, c (Å): | 3.564 | 3.564 | 30.000 |
| α, β, γ (°): | 90.000 | 90.000 | 120.000 |
| Property |
Value |
| Band gap |
0.00 eV |
| E-fermi |
-2.147 eV |
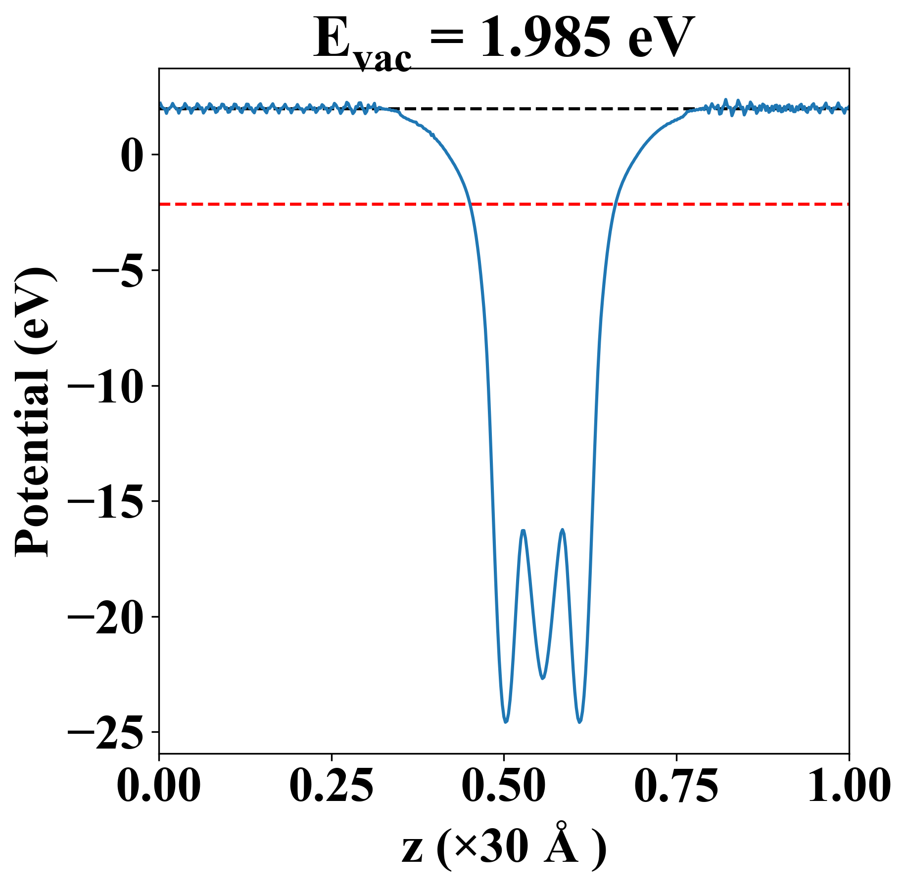
| Vacuum level |
1.985 eV |
| VBM |
-2.359 eV |
| CBM |
-1.870 eV |
| Work function |
4.133 eV |
| Direct gap |
No |
| Property |
Value |
| Band gap |
0.49 eV |
| E-fermi |
-2.104 eV |
| VBM |
-2.372 eV |
| CBM |
-1.884 eV |
| Free energy (eV) |
-14.375 |
| Free energy / atom (eV) |
-4.792 |
| Property |
Value |
| Band gap |
0.00 eV |
| E-fermi |
-2.147 eV |
| Vacuum level |
1.985 eV |
| VBM |
-2.359 eV |
| CBM |
-1.870 eV |
| Work function |
4.133 eV |
| Cij (N/m) |
xx |
yy |
xy |
| xx |
51.711 |
15.632 |
-0.000 |
| yy |
15.632 |
51.711 |
-0.000 |
| xy |
-0.000 |
-0.000 |
18.040 |
| Phonon mode at Γ point (THz) |
| -0.005 |
| -0.005 |
| 0.001 |
| 4.063 |
| 4.063 |
| 5.993 |
| 5.993 |
| 7.131 |
| 9.933 |
| Property |
Value |
| from where |
c2db-1057 |