Cl2Ru1
MatHub2d-440-Cl2Ru1
| Property |
Value |
| Space group |
(164, 'P-3m1') |
| Crystal system |
hexagonal |
| Magnetic |
No |
| Band gap (PBE) (eV) |
2.41 |
| Free energy (eV) |
-11.352 |
| Free energy / atom (eV) |
-3.784 |
Lattice Parameters (basic)
| a, b, c (Å): | 3.593 | 3.593 | 30.000 |
| α, β, γ (°): | 90.000 | 90.000 | 120.000 |
Lattice Parameters (computed)
| a, b, c (Å): | 3.607 | 3.607 | 30.000 |
| α, β, γ (°): | 90.000 | 90.000 | 120.000 |
| Property |
Value |
| Band gap |
2.41 eV |
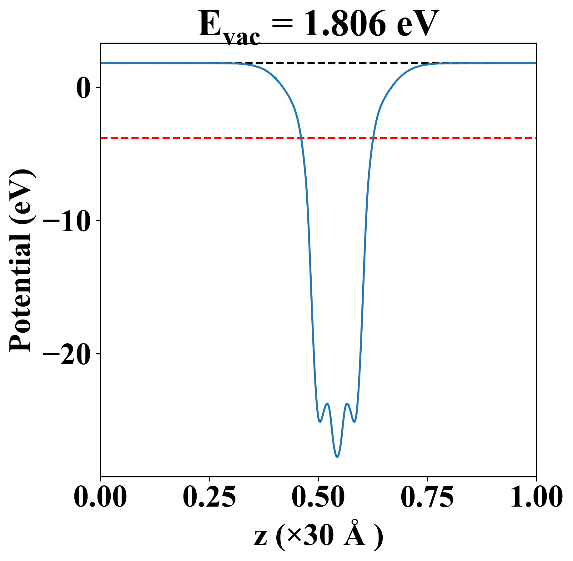
| E-fermi |
-3.841 eV |
| Vacuum level |
1.806 eV |
| VBM |
-4.054 eV |
| CBM |
-1.646 eV |
| Work function |
5.647 eV |
| Direct gap |
Yes |
| Property |
Value |
| Band gap |
2.40 eV |
| E-fermi |
-3.702 eV |
| VBM |
-4.051 eV |
| CBM |
-1.646 eV |
| Free energy (eV) |
-11.516 |
| Free energy / atom (eV) |
-3.839 |
| Property |
Value |
| Band gap |
2.41 eV |
| E-fermi |
-3.841 eV |
| Vacuum level |
1.806 eV |
| VBM |
-4.054 eV |
| CBM |
-1.646 eV |
| Work function |
5.647 eV |
| Cij (N/m) |
xx |
yy |
xy |
| xx |
62.974 |
18.469 |
-0.000 |
| yy |
18.469 |
62.974 |
-0.000 |
| xy |
-0.000 |
-0.000 |
22.252 |
| Phonon mode at Γ point (THz) |
| -0.004 |
| -0.004 |
| -0.003 |
| 4.935 |
| 6.519 |
| 6.519 |
| 7.370 |
| 7.370 |
| 7.429 |
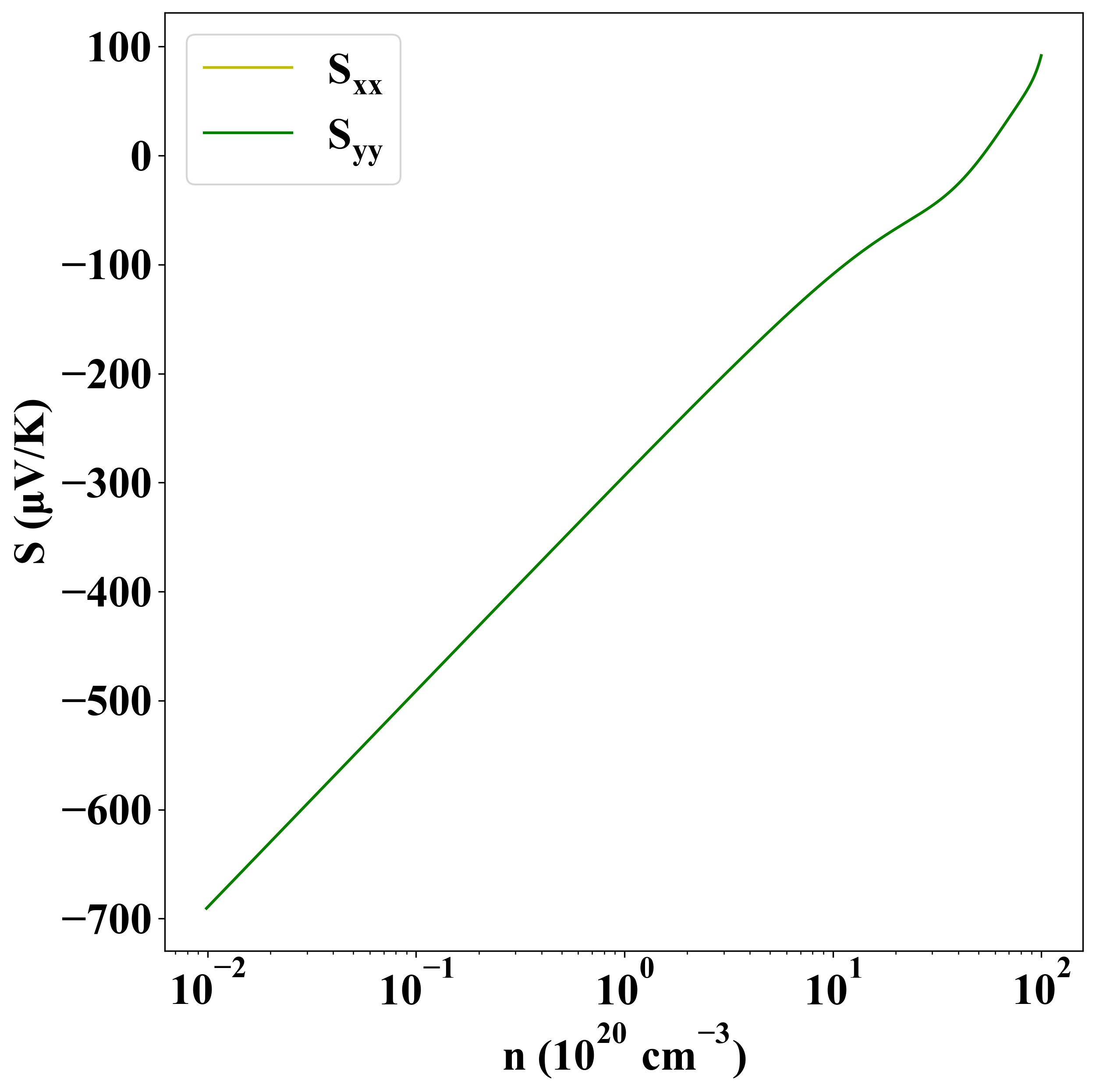
| Carrier type |
C2D (N/m) |
Edef (eV) |
μ (cm2V-1s-1) |
| x |
y |
x |
y |
x |
y |
| hole |
59.14 |
59.25 |
-1.49 |
-1.40 |
-78.98 |
-90.40 |
| electron |
-2.73 |
-2.02 |
39.40 |
72.52 |
| Property |
Value |
| from where |
c2db-930 |