Cl2Re1
MatHub2d-436-Cl2Re1
| Property |
Value |
| Space group |
(164, 'P-3m1') |
| Crystal system |
hexagonal |
| Magnetic |
Yes |
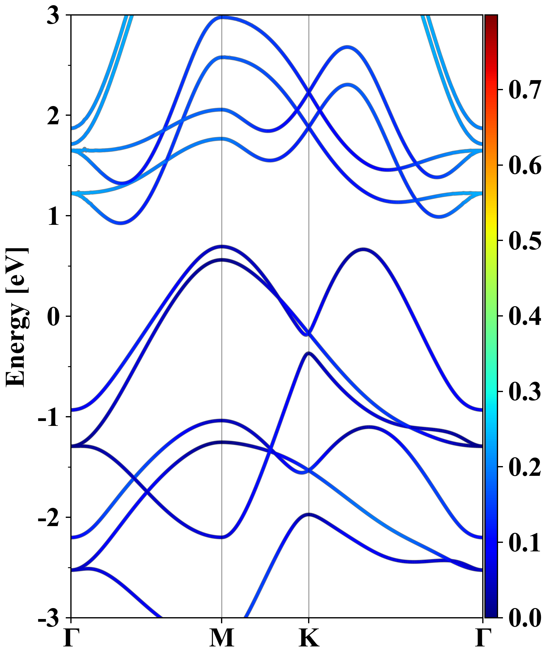
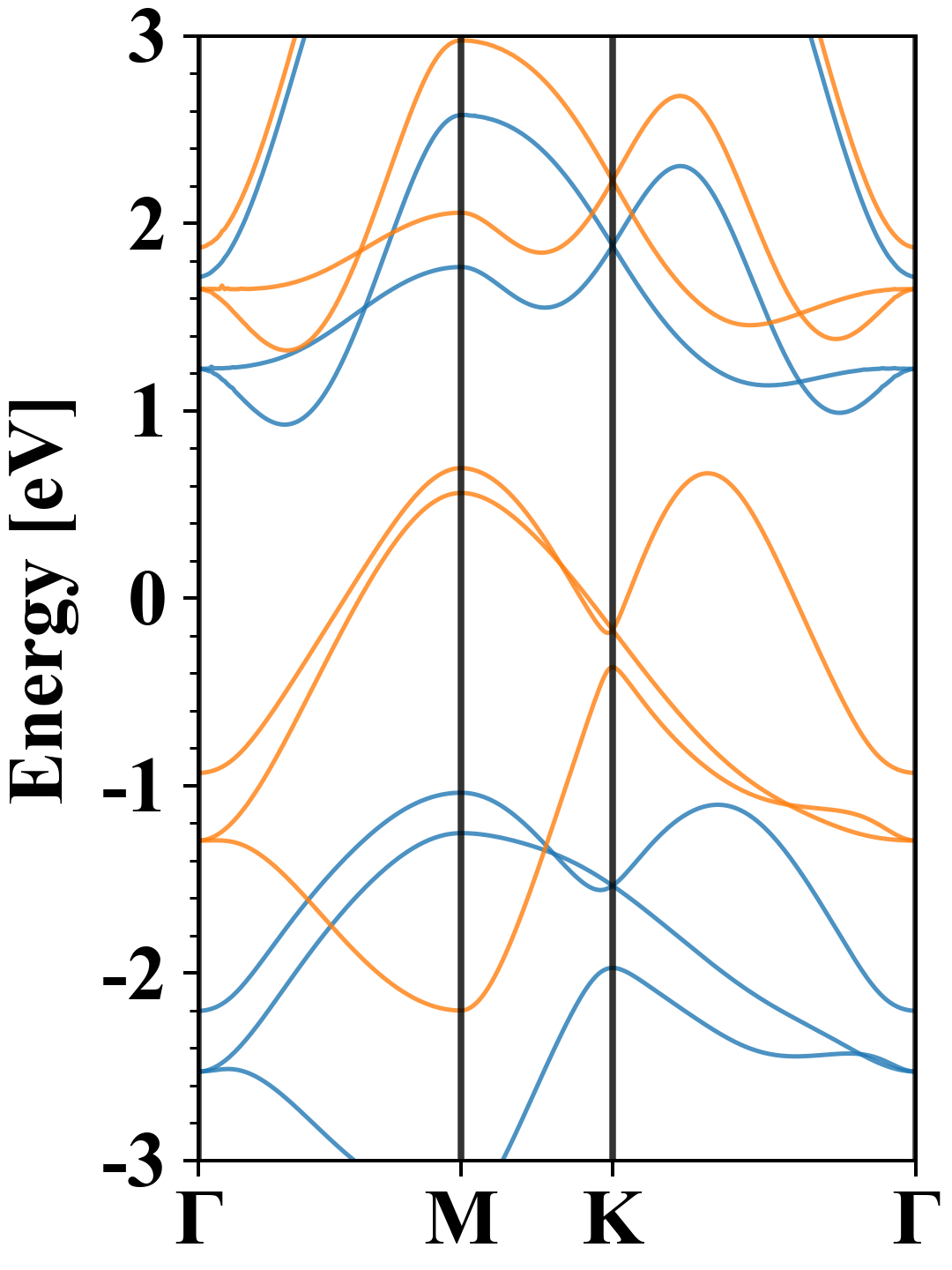
| Band gap (PBE) (eV) |
0.00 |
| Free energy (eV) |
-12.957 |
| Free energy / atom (eV) |
-4.319 |
Lattice Parameters (basic)
| a, b, c (Å): | 3.304 | 3.304 | 30.000 |
| α, β, γ (°): | 90.000 | 90.000 | 120.000 |
Lattice Parameters (computed)
| a, b, c (Å): | 3.475 | 3.475 | 30.000 |
| α, β, γ (°): | 90.000 | 90.000 | 120.000 |
| Property |
Value |
| Band gap |
0.00 eV |
| E-fermi |
-1.859 eV |
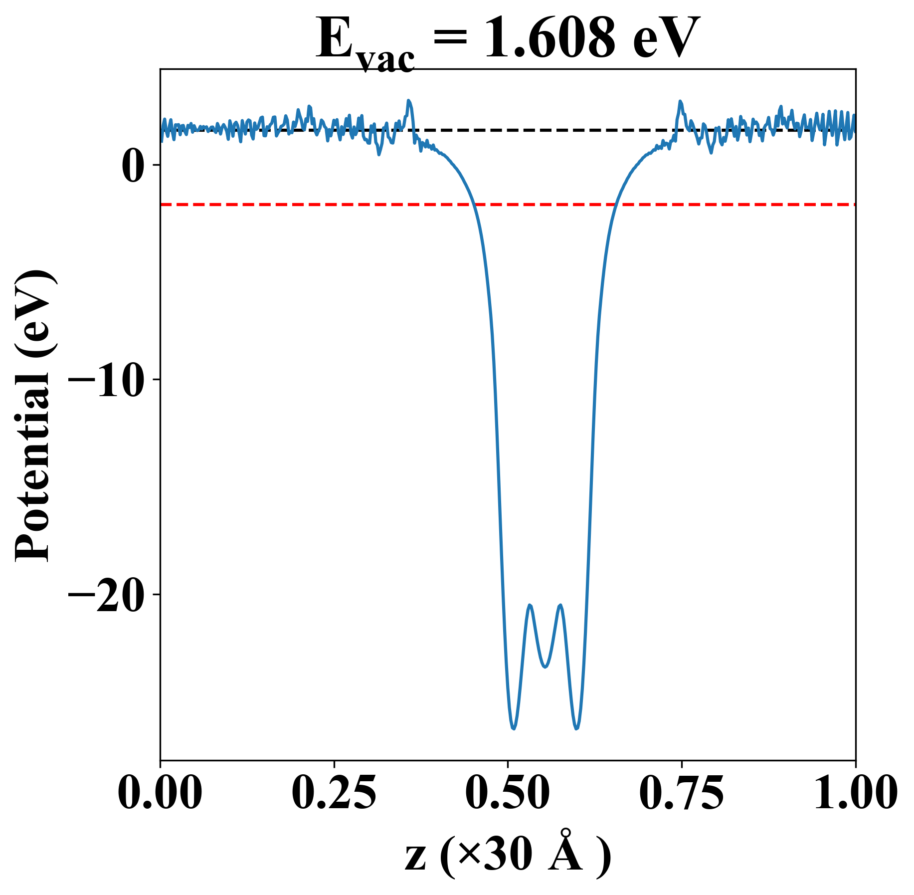
| Vacuum level |
1.608 eV |
| VBM |
-1.867 eV |
| CBM |
-1.858 eV |
| Work function |
3.467 eV |
| Direct gap |
No |
| Property |
Value |
| Band gap |
0.00 eV |
| E-fermi |
-1.859 eV |
| Vacuum level |
1.608 eV |
| VBM |
-1.867 eV |
| CBM |
-1.858 eV |
| Work function |
3.467 eV |
| Cij (N/m) |
xx |
yy |
xy |
| xx |
-36.993 |
53.438 |
0.000 |
| yy |
53.438 |
-36.993 |
0.000 |
| xy |
0.000 |
0.000 |
-45.216 |
| Phonon mode at Γ point (THz) |
| -2.329 |
| -0.002 |
| -0.002 |
| 0.002 |
| 6.600 |
| 6.600 |
| 6.703 |
| 6.703 |
| 7.396 |
| Property |
Value |
| from where |
c2db-923 |