Cl2Pd1
MatHub2d-433-Cl2Pd1
| Property |
Value |
| Space group |
(187, 'P-6m2') |
| Crystal system |
hexagonal |
| Magnetic |
Yes |
| Band gap (PBE) (eV) |
0.63 |
| Free energy (eV) |
-7.598 |
| Free energy / atom (eV) |
-2.533 |
Lattice Parameters (basic)
| a, b, c (Å): | 3.549 | 3.549 | 30.000 |
| α, β, γ (°): | 90.000 | 90.000 | 120.000 |
Lattice Parameters (computed)
| a, b, c (Å): | 3.537 | 3.537 | 30.000 |
| α, β, γ (°): | 90.000 | 90.000 | 120.000 |
| Property |
Value |
| Band gap |
0.63 eV |
| E-fermi |
-4.801 eV |
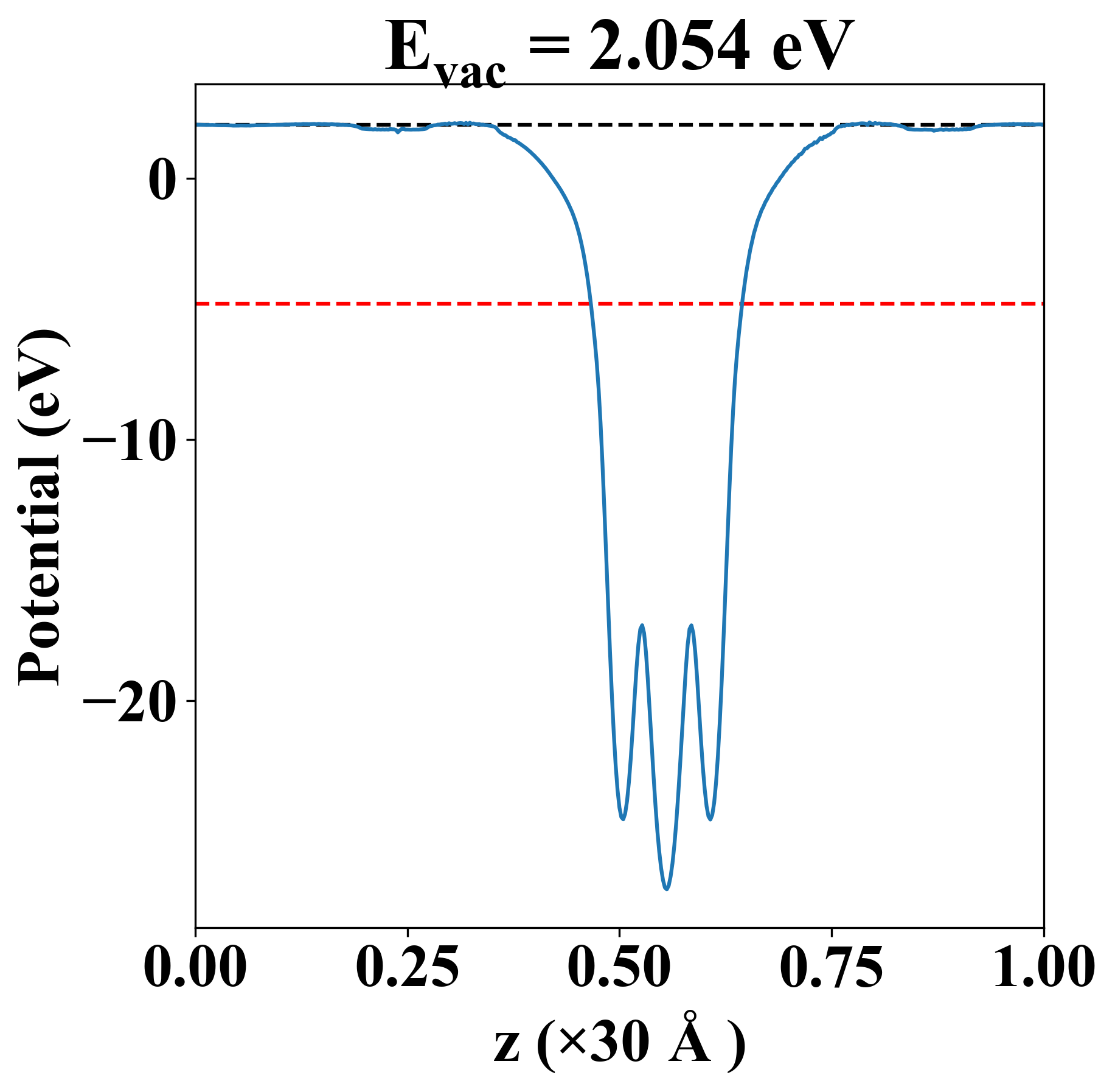
| Vacuum level |
2.054 eV |
| VBM |
-5.054 eV |
| CBM |
-4.429 eV |
| Work function |
6.855 eV |
| Direct gap |
No |
| Property |
Value |
| Band gap |
0.65 eV |
| E-fermi |
-4.798 eV |
| VBM |
-5.071 eV |
| CBM |
-4.418 eV |
| Free energy (eV) |
-7.661 |
| Free energy / atom (eV) |
-2.554 |
| Property |
Value |
| Band gap |
0.63 eV |
| E-fermi |
-4.801 eV |
| Vacuum level |
2.054 eV |
| VBM |
-5.054 eV |
| CBM |
-4.429 eV |
| Work function |
6.855 eV |
| Cij (N/m) |
xx |
yy |
xy |
| xx |
29.733 |
16.226 |
0.000 |
| yy |
16.226 |
29.733 |
0.000 |
| xy |
0.000 |
0.000 |
6.754 |
| Phonon mode at Γ point (THz) |
| -5.903 |
| -5.903 |
| -0.915 |
| -0.915 |
| -0.002 |
| 0.002 |
| 0.002 |
| 5.367 |
| 6.627 |
| Property |
Value |
| from where |
c2db-1040 |