C2O2Ta3
MatHub2d-366-C2O2Ta3
| Property |
Value |
| Space group |
(187, 'P-6m2') |
| Crystal system |
hexagonal |
| Magnetic |
No |
| Band gap (PBE) (eV) |
0.00 |
| Free energy (eV) |
-67.927 |
| Free energy / atom (eV) |
-9.704 |
Lattice Parameters (basic)
| a, b, c (Å): | 3.131 | 3.131 | 30.000 |
| α, β, γ (°): | 90.000 | 90.000 | 120.000 |
Lattice Parameters (computed)
| a, b, c (Å): | 3.151 | 3.151 | 30.000 |
| α, β, γ (°): | 90.000 | 90.000 | 120.000 |
| Property |
Value |
| Band gap |
0.00 eV |
| E-fermi |
-1.126 eV |
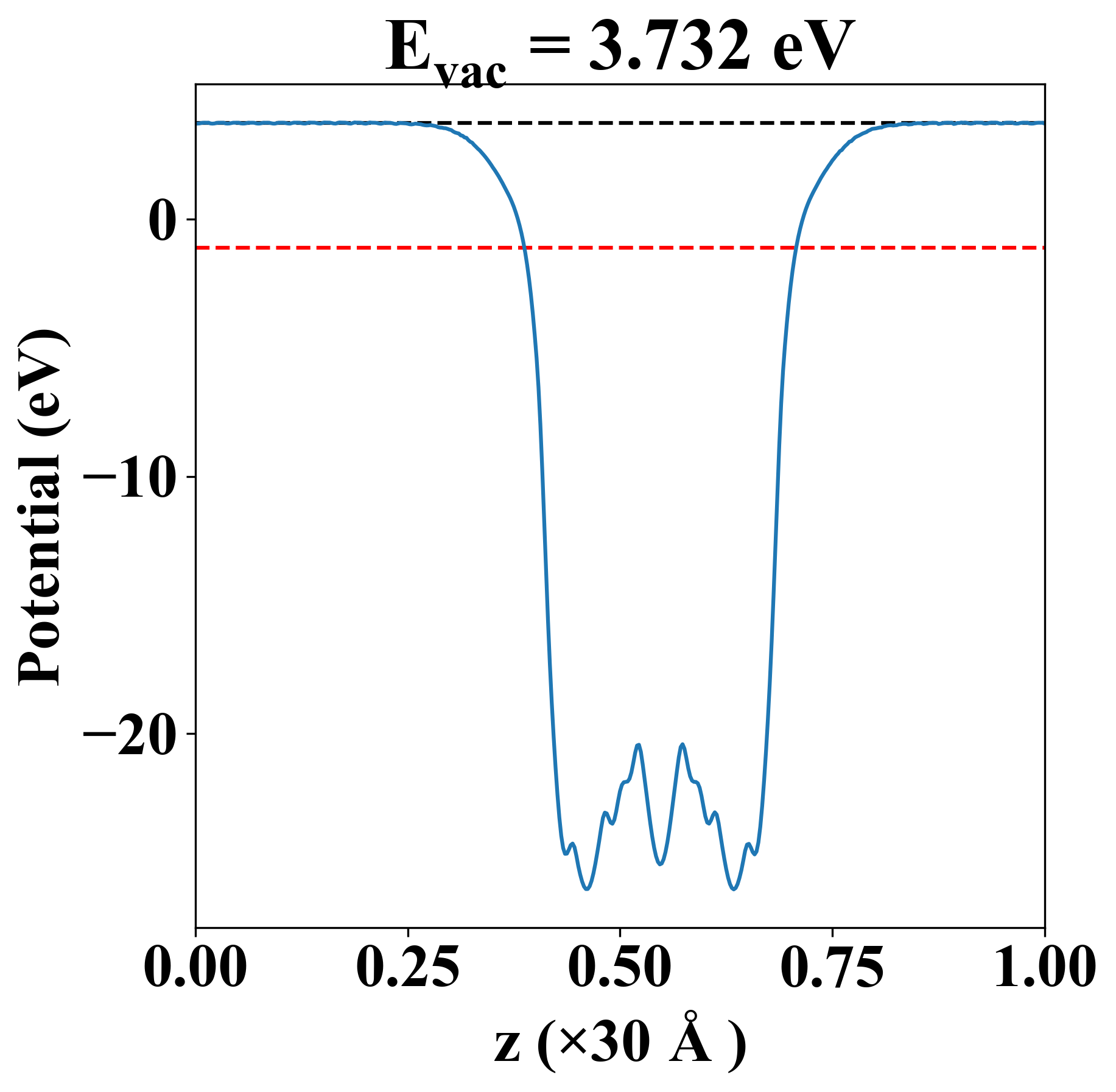
| Vacuum level |
3.732 eV |
| VBM |
-1.127 eV |
| CBM |
-1.126 eV |
| Work function |
4.858 eV |
| Direct gap |
No |
| Property |
Value |
| Band gap |
0.00 eV |
| E-fermi |
-1.126 eV |
| Vacuum level |
3.732 eV |
| VBM |
-1.127 eV |
| CBM |
-1.126 eV |
| Work function |
4.858 eV |
| Cij (N/m) |
xx |
yy |
xy |
| xx |
383.371 |
77.081 |
-0.000 |
| yy |
77.081 |
383.371 |
-0.000 |
| xy |
-0.000 |
-0.000 |
153.145 |
| Phonon mode at Γ point (THz) |
| -0.005 |
| -0.005 |
| -0.005 |
| 1.676 |
| 1.676 |
| 3.194 |
| 3.194 |
| 3.497 |
| 4.793 |
| 8.715 |
| 8.715 |
| 9.205 |
| 9.205 |
| 15.476 |
| 16.064 |
| 17.294 |
| 17.294 |
| 17.549 |
| 18.235 |
| 18.235 |
| 20.478 |
| Property |
Value |
| from where |
c2db-1429 |