Br2Ni1
MatHub2d-171-Br2Ni1
| Property |
Value |
| Space group |
(187, 'P-6m2') |
| Crystal system |
hexagonal |
| Magnetic |
Yes |
| Band gap (PBE) (eV) |
1.24 |
| Free energy (eV) |
-7.279 |
| Free energy / atom (eV) |
-2.426 |
Lattice Parameters (basic)
| a, b, c (Å): | 3.569 | 3.569 | 30.000 |
| α, β, γ (°): | 90.000 | 90.000 | 120.000 |
Lattice Parameters (computed)
| a, b, c (Å): | 3.593 | 3.593 | 30.000 |
| α, β, γ (°): | 90.000 | 90.000 | 120.000 |
| Property |
Value |
| Band gap |
1.24 eV |
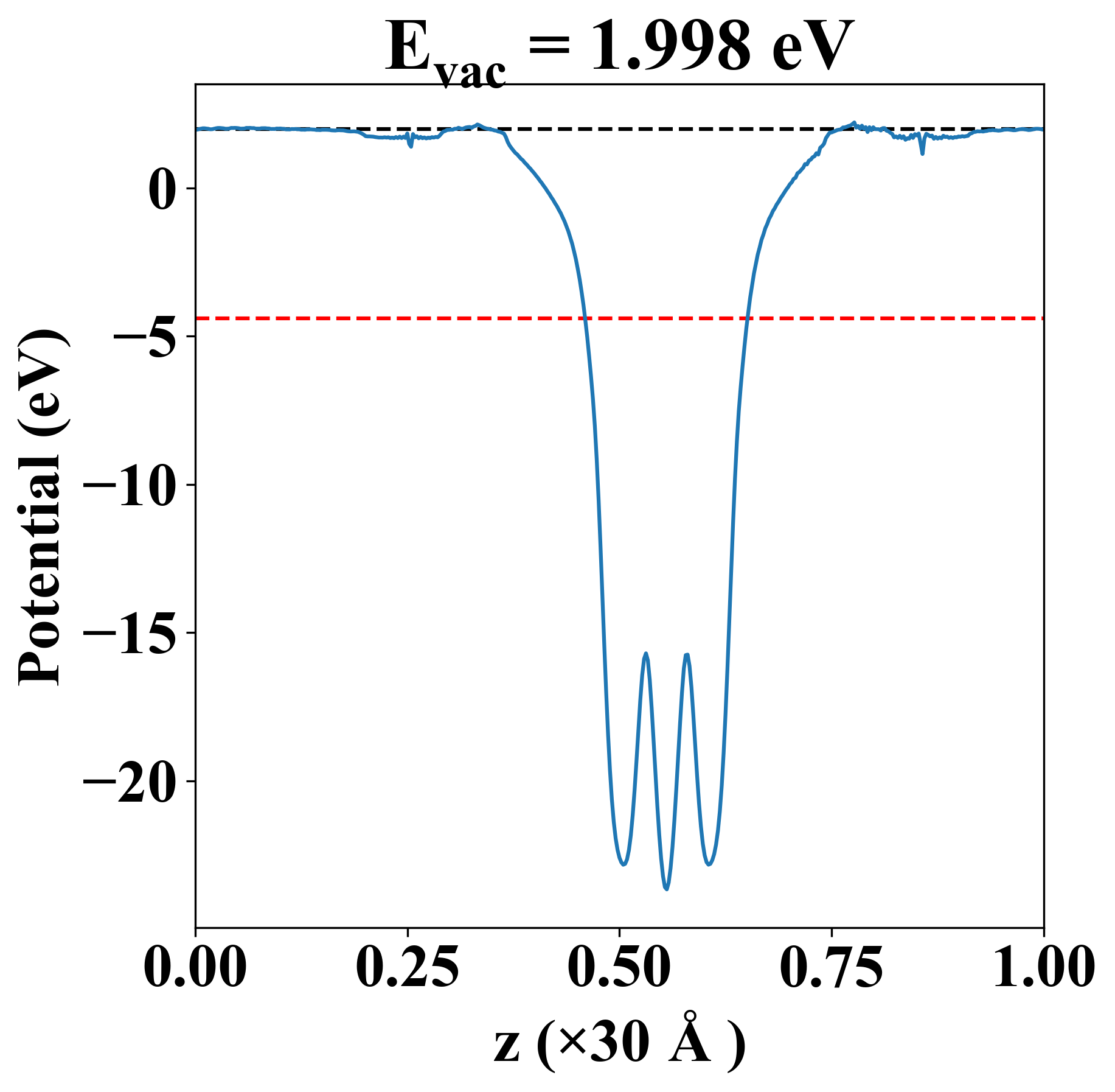
| E-fermi |
-4.391 eV |
| Vacuum level |
1.998 eV |
| VBM |
-4.676 eV |
| CBM |
-3.431 eV |
| Work function |
6.389 eV |
| Direct gap |
No |
| Property |
Value |
| Band gap |
1.16 eV |
| E-fermi |
-4.323 eV |
| VBM |
-4.567 eV |
| CBM |
-3.410 eV |
| Free energy (eV) |
-7.346 |
| Free energy / atom (eV) |
-2.449 |
| Property |
Value |
| Band gap |
1.24 eV |
| E-fermi |
-4.391 eV |
| Vacuum level |
1.998 eV |
| VBM |
-4.676 eV |
| CBM |
-3.431 eV |
| Work function |
6.389 eV |
| Cij (N/m) |
xx |
yy |
xy |
| xx |
35.181 |
19.233 |
-0.000 |
| yy |
19.233 |
35.181 |
-0.000 |
| xy |
-0.000 |
-0.000 |
7.974 |
| Phonon mode at Γ point (THz) |
| -3.934 |
| -3.934 |
| -1.554 |
| -1.554 |
| 0.001 |
| 0.010 |
| 0.010 |
| 3.831 |
| 4.591 |
| Property |
Value |
| from where |
c2db-1029 |